Официальное опубликование правовых актов
ОФИЦИАЛЬНОЕ ОПУБЛИКОВАНИЕ
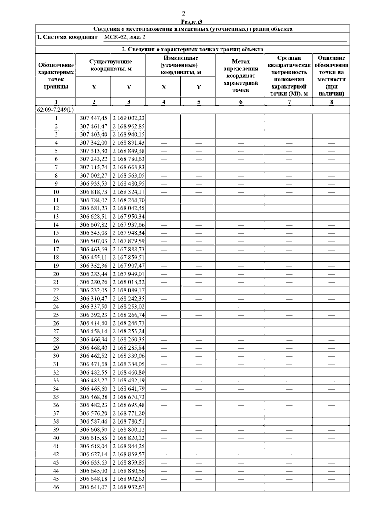
Постановление Главного управления архитектуры и градостроительства Рязанской области от 16.12.2025 № 1154-п
"О внесении изменения в правила землепользования и застройки муниципального образования - Благовское сельское поселение Александро-Невского муниципального района Рязанской области"
(Зарегистрирован 18.12.2025 № 1804)
Номер опубликования: 6201202512220004
Дата опубликования: 22.12.2025
Страница №4 из 100:
Увеличить