Официальное опубликование правовых актов
ОФИЦИАЛЬНОЕ ОПУБЛИКОВАНИЕ
Постановление Главного управления архитектуры и градостроительства Рязанской области от 16.12.2025 № 1127-п
"О внесении изменений в правила землепользования и застройки муниципального образования - Рыбновское городское поселение Рыбновского муниципального района Рязанской области"
(Зарегистрирован 18.12.2025 № 1774)
Номер опубликования: 6201202512190014
Дата опубликования: 19.12.2025
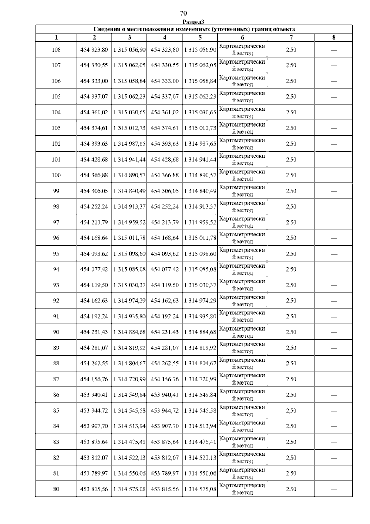
Страница №346 из 561:
Увеличить