Официальное опубликование правовых актов
ОФИЦИАЛЬНОЕ ОПУБЛИКОВАНИЕ
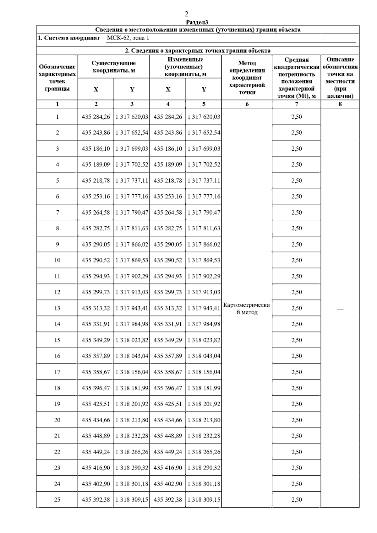
Постановление Главного управления архитектуры и градостроительства Рязанской области от 15.12.2025 № 1119-п
"О внесении изменений в генеральный план муниципального образования – Екимовское сельское поселение Рязанского муниципального района Рязанской области"
(Зарегистрирован 16.12.2025 № 1710)
Номер опубликования: 6201202512180003
Дата опубликования: 18.12.2025
Страница №7 из 15:
Увеличить