Официальное опубликование правовых актов
ОФИЦИАЛЬНОЕ ОПУБЛИКОВАНИЕ
Постановление Главного управления архитектуры и градостроительства Рязанской области от 12.12.2025 № 1112-п
"О внесении изменений в правила землепользования и застройки муниципального образования - Искровское сельское поселение Рязанского муниципального района Рязанской области"
(Зарегистрирован 15.12.2025 № 1698)
Номер опубликования: 6201202512170004
Дата опубликования: 17.12.2025
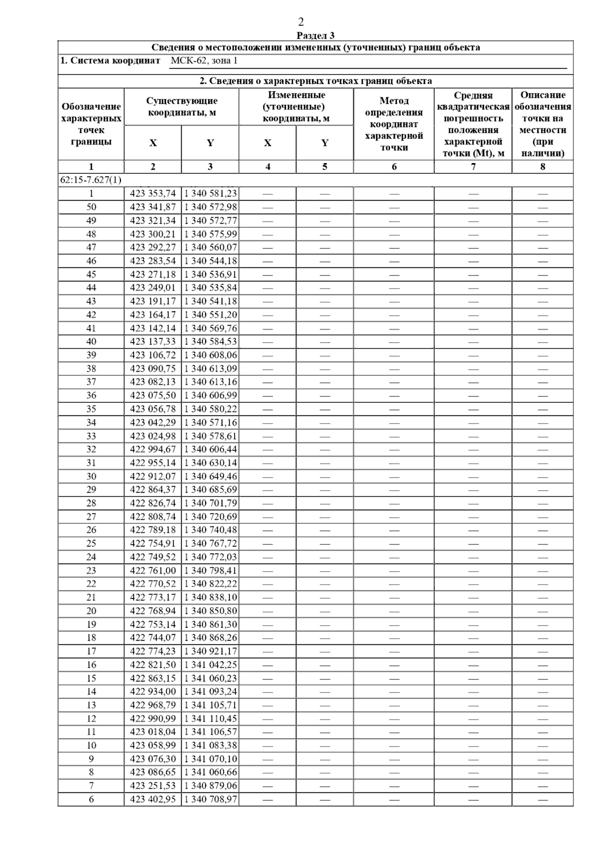
Страница №92 из 96:
Увеличить