Официальное опубликование правовых актов
ОФИЦИАЛЬНОЕ ОПУБЛИКОВАНИЕ
Постановление Главного управления архитектуры и градостроительства Рязанской области от 10.12.2025 № 1099-п
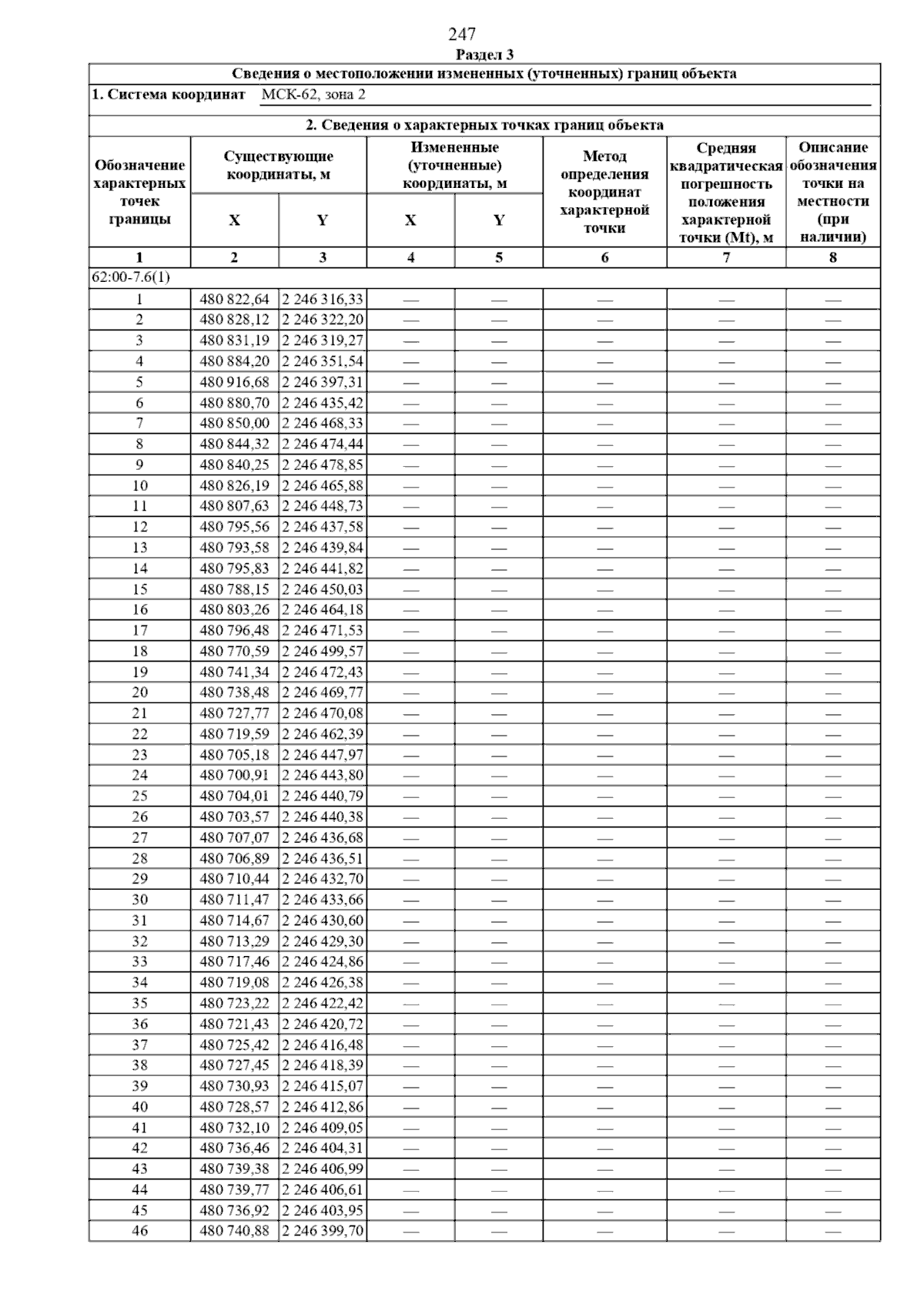
"Об утверждении правил землепользования и застройки муниципального образования – Касимовский муниципальный округ Рязанской области применительно к территории города Касимов с прилегающей территорией в кадастровых кварталах 62:04:2250103, 62:04:2240301, 62:04:2210103, 62:04:2210104, 62:04:2210301, 62:04:2220202, 62:04:2270101, 62:04:2260103, 62:04:2260101, 62:04:2250101, за исключением территорий, расположенных в границах Овчинниковского, Крутоярского, Ахматовского, Торбаевского, Булгаковского, Лашманского, Лощининского сельских округов Касимовского района Рязанской области"
(Зарегистрирован 11.12.2025 № 1635)
Номер опубликования: 6201202512160019
Дата опубликования: 16.12.2025
Страница №328 из 569:
Увеличить