Официальное опубликование правовых актов
ОФИЦИАЛЬНОЕ ОПУБЛИКОВАНИЕ
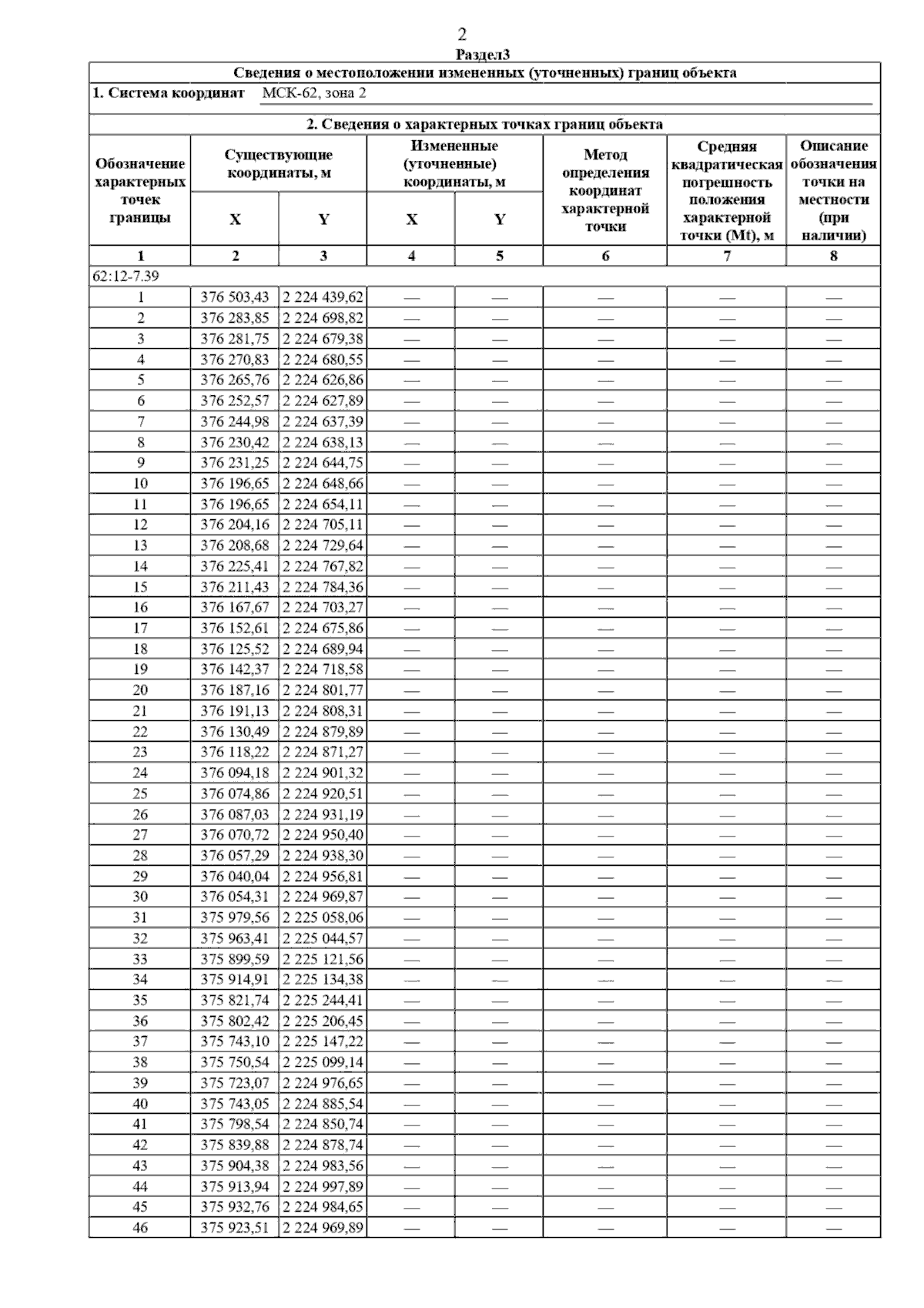
Постановление Главного управления архитектуры и градостроительства Рязанской области от 09.12.2025 № 1087-п
"О внесении изменений в правила землепользования и застройки муниципального образования - Путятинский муниципальный округ Рязанской области применительно к территории Карабухинского сельского округа Путятинского района Рязанской области"
(Зарегистрирован 10.12.2025 № 1622)
Номер опубликования: 6201202512160013
Дата опубликования: 16.12.2025
Страница №15 из 18:
Увеличить