Официальное опубликование правовых актов
ОФИЦИАЛЬНОЕ ОПУБЛИКОВАНИЕ
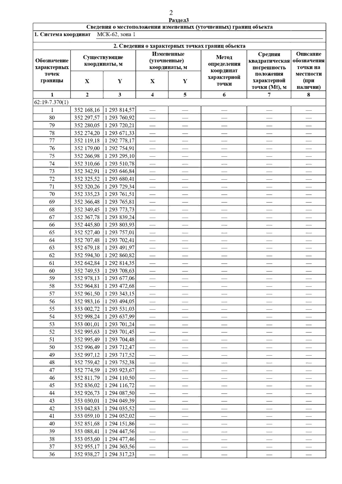
Постановление Главного управления архитектуры и градостроительства Рязанской области от 08.12.2025 № 1075-п
"О внесении изменений в правила землепользования и застройки муниципального образования - Павелецкое городское поселение Скопинского муниципального района Рязанской области"
(Зарегистрирован 10.12.2025 № 1608)
Номер опубликования: 6201202512150005
Дата опубликования: 15.12.2025
Страница №135 из 150:
Увеличить