Официальное опубликование правовых актов
ОФИЦИАЛЬНОЕ ОПУБЛИКОВАНИЕ
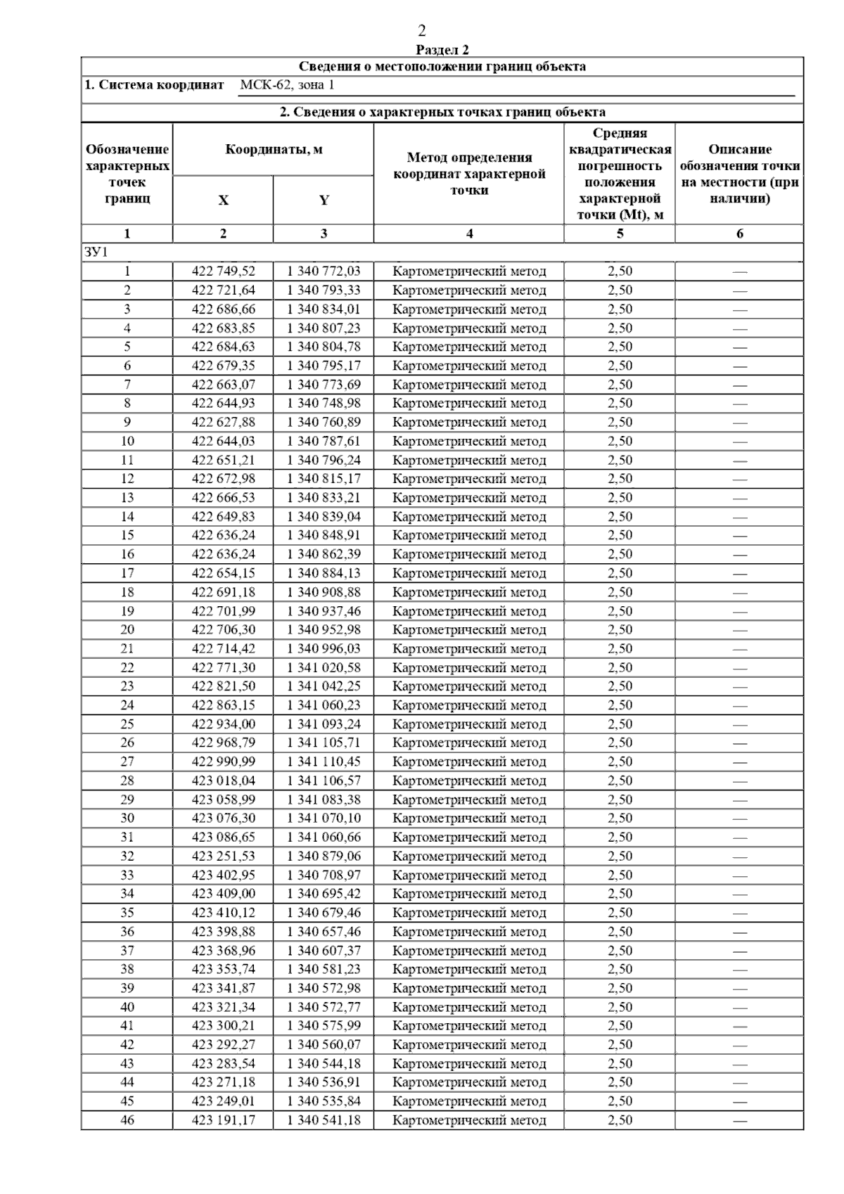
Постановление Главного управления архитектуры и градостроительства Рязанской области от 08.12.2025 № 1065-п
"О внесении изменений в генеральный план муниципального образования – Искровское сельское поселение Рязанского муниципального района Рязанской области"
(Зарегистрирован 10.12.2025 № 1598)
Номер опубликования: 6201202512120001
Дата опубликования: 12.12.2025
Страница №8 из 11:
Увеличить