Постановление Главного управления "Региональная энергетическая комиссия" Рязанской области от 08.12.2025 № 134
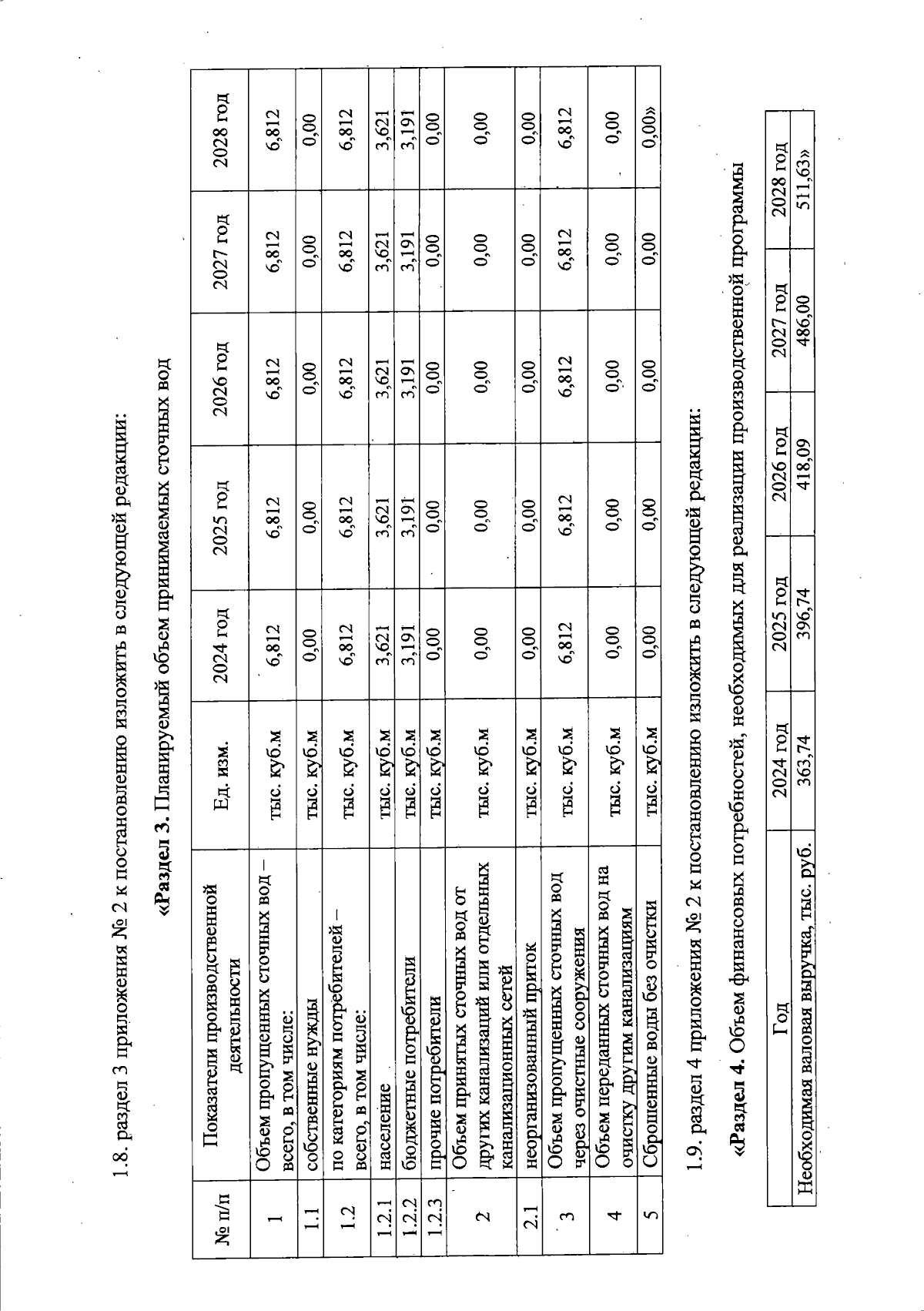
"О внесении изменений в постановление ГУ РЭК Рязанской области от 13 ноября 2023 г. № 108 "Об установлении тарифов на питьевую воду в сфере холодного водоснабжения, водоотведение для потребителей МКП "ЖКХ Чучковское" Чучковского муниципального района"
(Зарегистрирован 09.12.2025 № 1590)
"О внесении изменений в постановление ГУ РЭК Рязанской области от 13 ноября 2023 г. № 108 "Об установлении тарифов на питьевую воду в сфере холодного водоснабжения, водоотведение для потребителей МКП "ЖКХ Чучковское" Чучковского муниципального района"
(Зарегистрирован 09.12.2025 № 1590)
Номер опубликования: 6201202512110033
Дата опубликования:
11.12.2025
