Официальное опубликование правовых актов
ОФИЦИАЛЬНОЕ ОПУБЛИКОВАНИЕ
Постановление Главного управления архитектуры и градостроительства Рязанской области от 02.12.2025 № 1044-п
"О внесении изменений в правила землепользования и застройки муниципального образования – Нижнеякимецкое сельское поселение Александро-Невского муниципального района Рязанской области"
(Зарегистрирован 03.12.2025 № 1499)
Номер опубликования: 6201202512080023
Дата опубликования: 08.12.2025
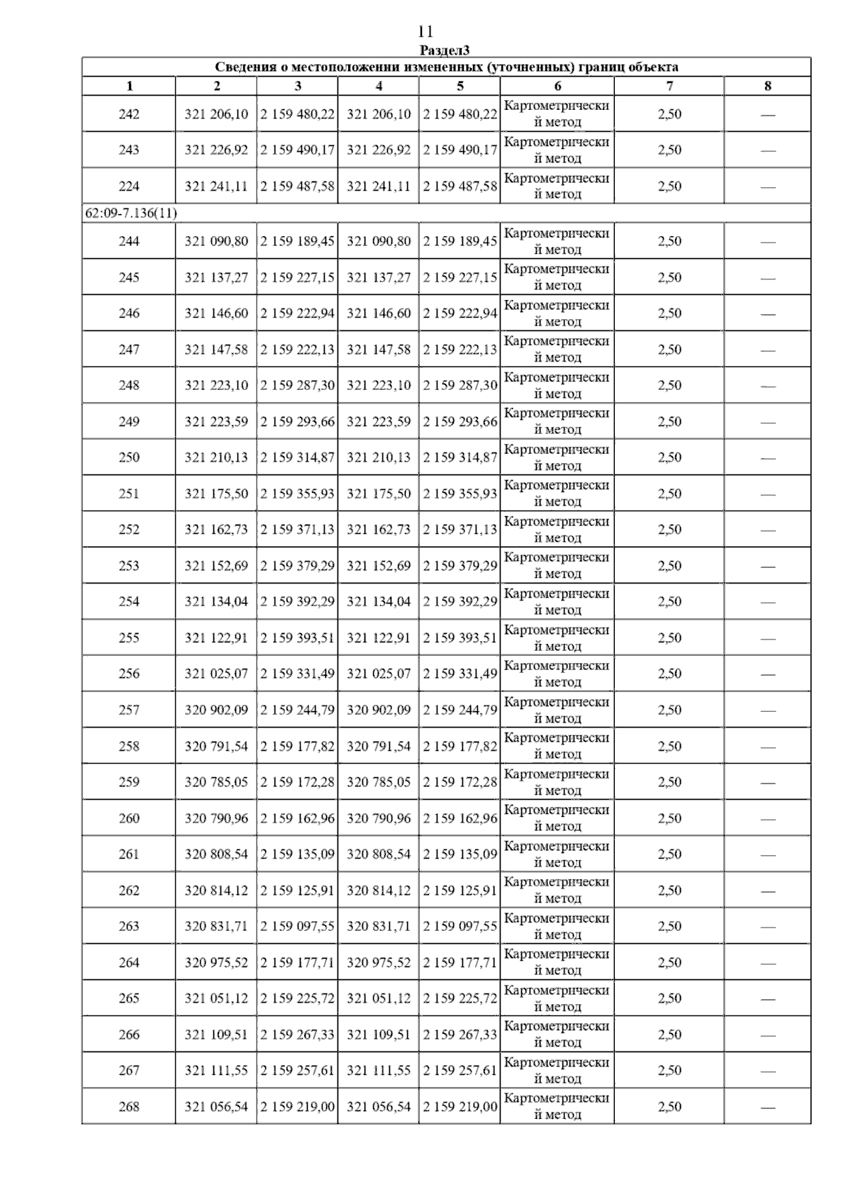
Страница №13 из 56:
Увеличить