Официальное опубликование правовых актов
ОФИЦИАЛЬНОЕ ОПУБЛИКОВАНИЕ
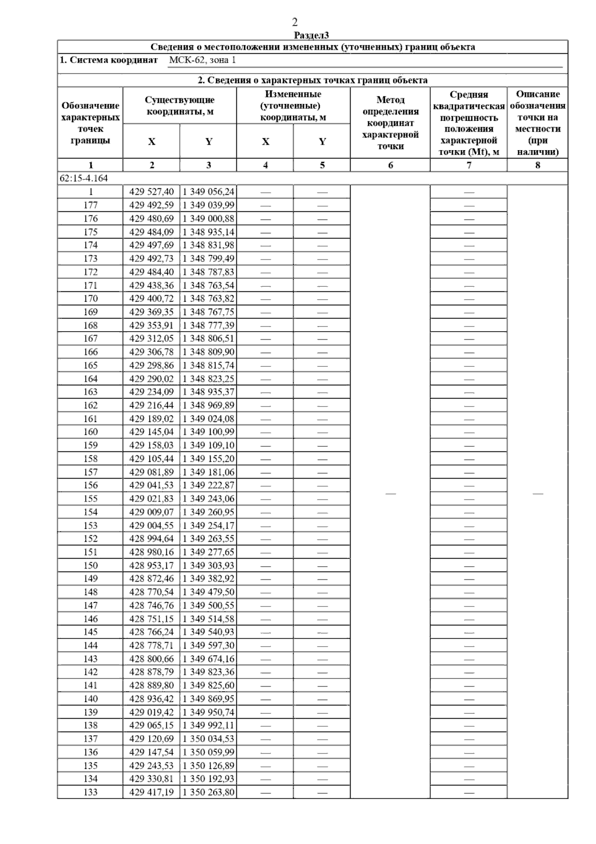
Постановление Главного управления архитектуры и градостроительства Рязанской области от 02.12.2025 № 1047-п
"О внесении изменения в генеральный план муниципального образования – Листвянское сельское поселение Рязанского муниципального района Рязанской области"
(Зарегистрирован 03.12.2025 № 1502)
Номер опубликования: 6201202512080021
Дата опубликования: 08.12.2025
Страница №4 из 14:
Увеличить