Официальное опубликование правовых актов
ОФИЦИАЛЬНОЕ ОПУБЛИКОВАНИЕ
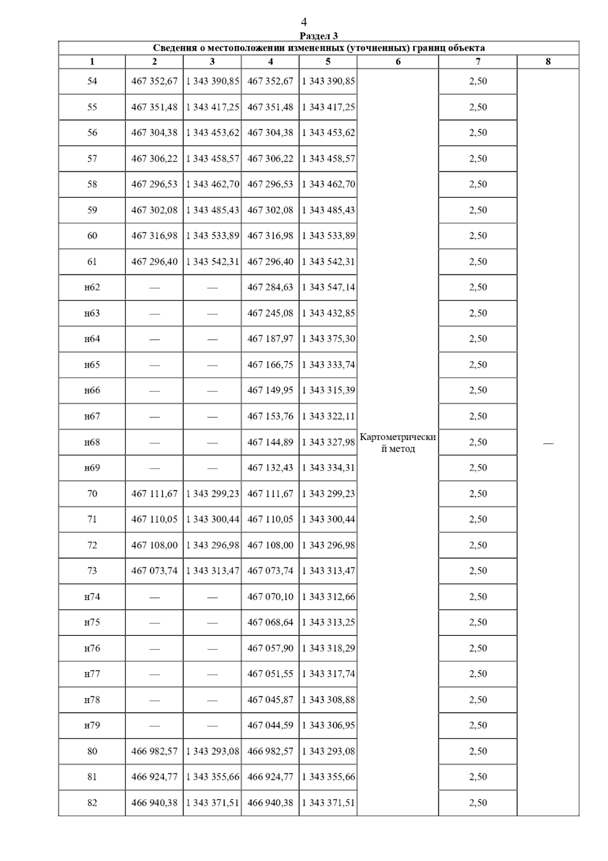
Постановление Главного управления архитектуры и градостроительства Рязанской области от 24.11.2025 № 1012-п
"О внесении изменений в правила землепользования и застройки муниципального образования - Заборьевское сельское поселение Рязанского муниципального района Рязанской области"
(Зарегистрирован 25.11.2025 № 1445)
Номер опубликования: 6201202511280002
Дата опубликования: 28.11.2025
Страница №13 из 52:
Увеличить