Официальное опубликование правовых актов
ОФИЦИАЛЬНОЕ ОПУБЛИКОВАНИЕ
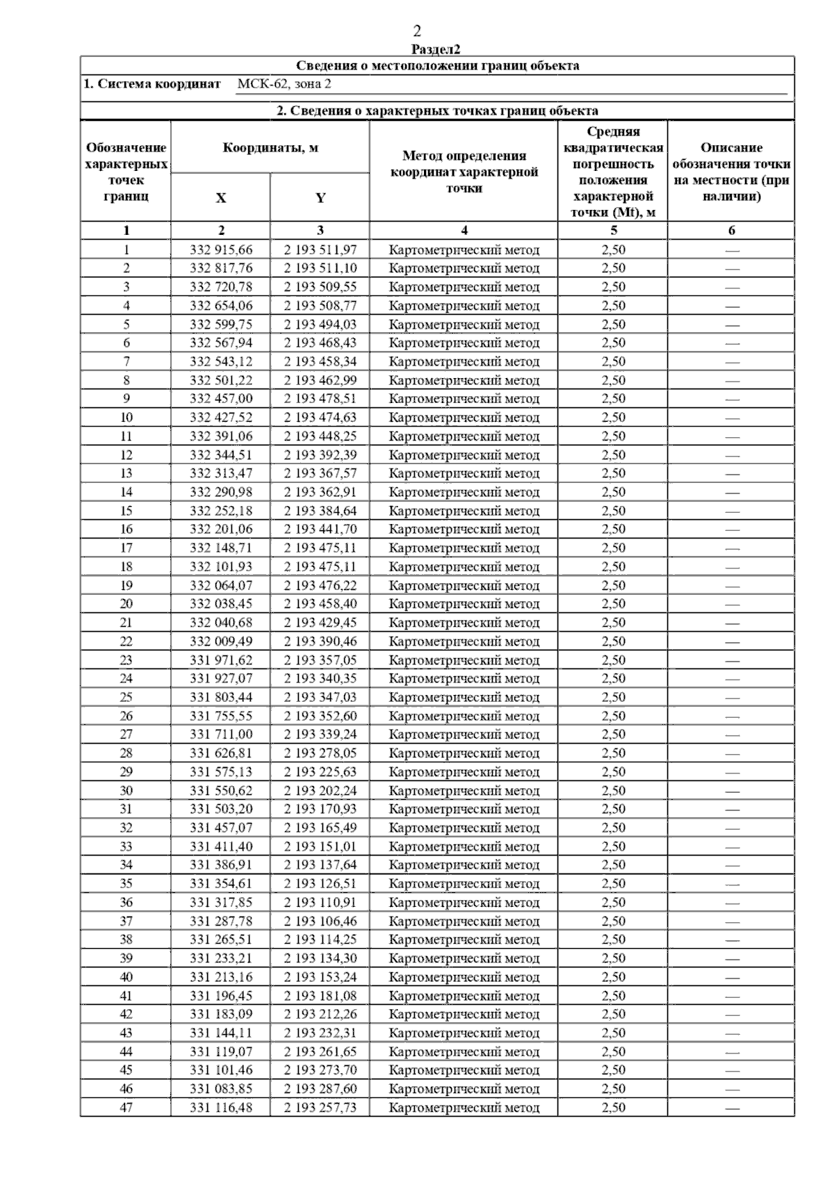
Постановление Главного управления архитектуры и градостроительства Рязанской области от 21.11.2025 № 1006-п
"О внесении изменений в правила землепользования и застройки муниципального образования – Коноплинское сельское поселение Ухоловского муниципального района Рязанской области"
(Зарегистрирован 24.11.2025 № 1433)
Номер опубликования: 6201202511270007
Дата опубликования: 27.11.2025
Страница №4 из 88:
Увеличить