Официальное опубликование правовых актов
ОФИЦИАЛЬНОЕ ОПУБЛИКОВАНИЕ
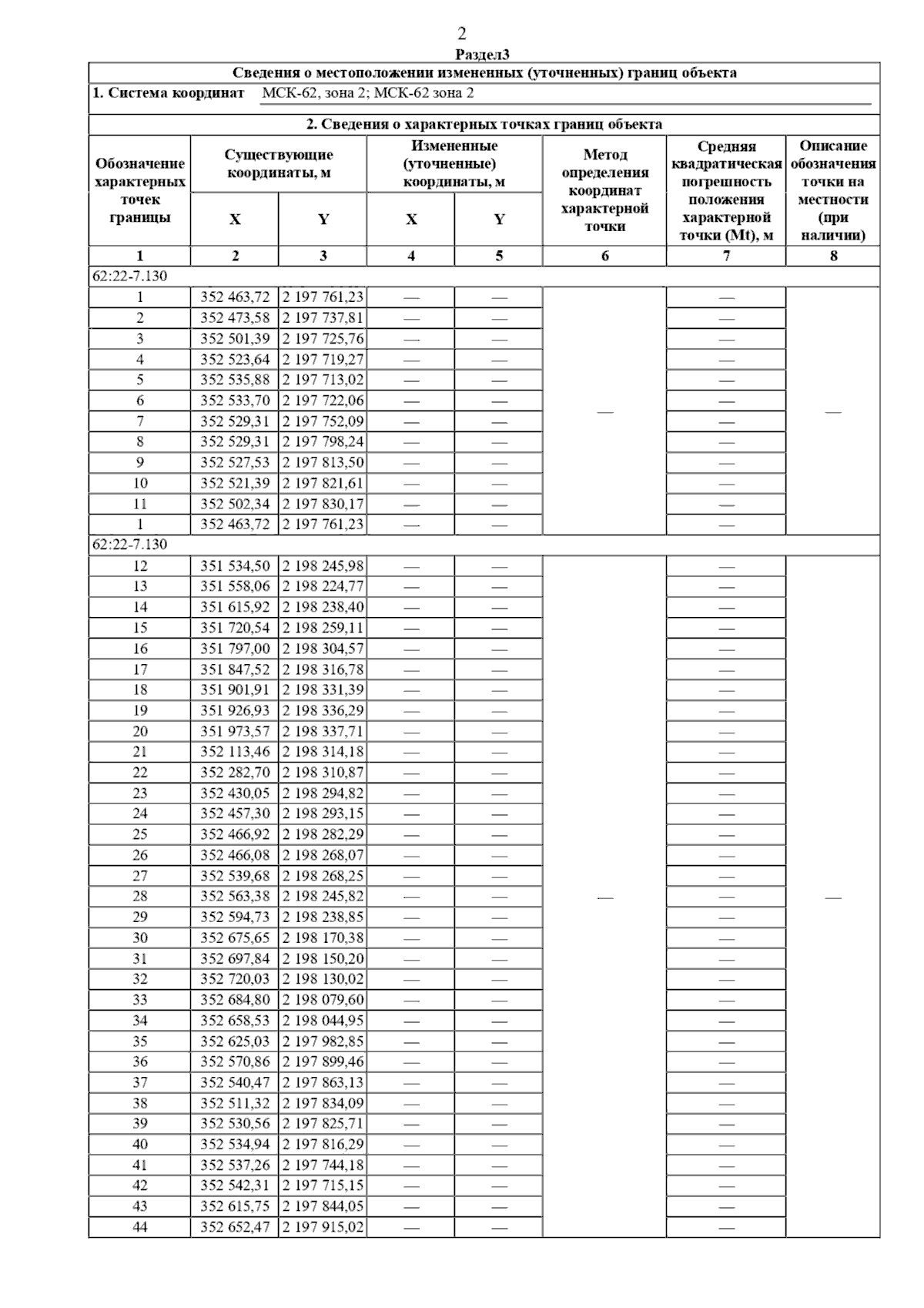
Постановление Главного управления архитектуры и градостроительства Рязанской области от 14.11.2025 № 985-п
"О внесении изменений в правила землепользования и застройки муниципального образования – Калининское сельское поселение Ухоловского муниципального района Рязанской области"
(Зарегистрирован 17.11.2025 № 1393)
Номер опубликования: 6201202511180004
Дата опубликования: 18.11.2025
Страница №30 из 60:
Увеличить