Официальное опубликование правовых актов
ОФИЦИАЛЬНОЕ ОПУБЛИКОВАНИЕ
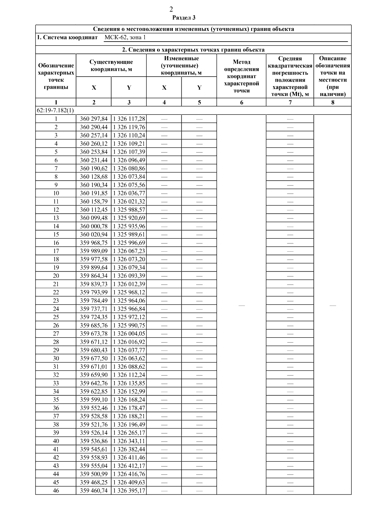
Постановление Главного управления архитектуры и градостроительства Рязанской области от 11.11.2025 № 978-п
"О внесении изменений в правила землепользования и застройки муниципального образования - Вослебовское сельское поселение Скопинского района Рязанской области"
(Зарегистрирован 12.11.2025 № 1383)
Номер опубликования: 6201202511170007
Дата опубликования: 17.11.2025
Страница №4 из 199:
Увеличить