Официальное опубликование правовых актов
ОФИЦИАЛЬНОЕ ОПУБЛИКОВАНИЕ
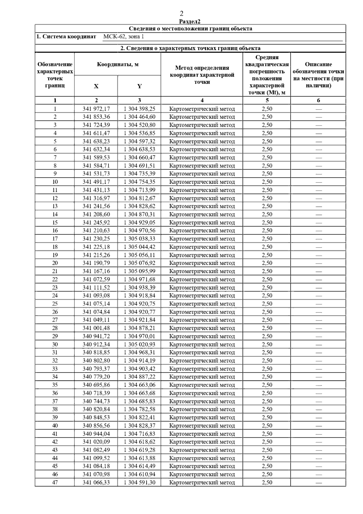
Постановление Главного управления архитектуры и градостроительства Рязанской области от 11.11.2025 № 979-п
"О внесении изменения в генеральный план муниципального образования – Павловское сельское поселение Милославского муниципального района Рязанской области"
(Зарегистрирован 12.11.2025 № 1384)
Номер опубликования: 6201202511170006
Дата опубликования: 17.11.2025
Страница №4 из 5:
Увеличить