Официальное опубликование правовых актов
ОФИЦИАЛЬНОЕ ОПУБЛИКОВАНИЕ
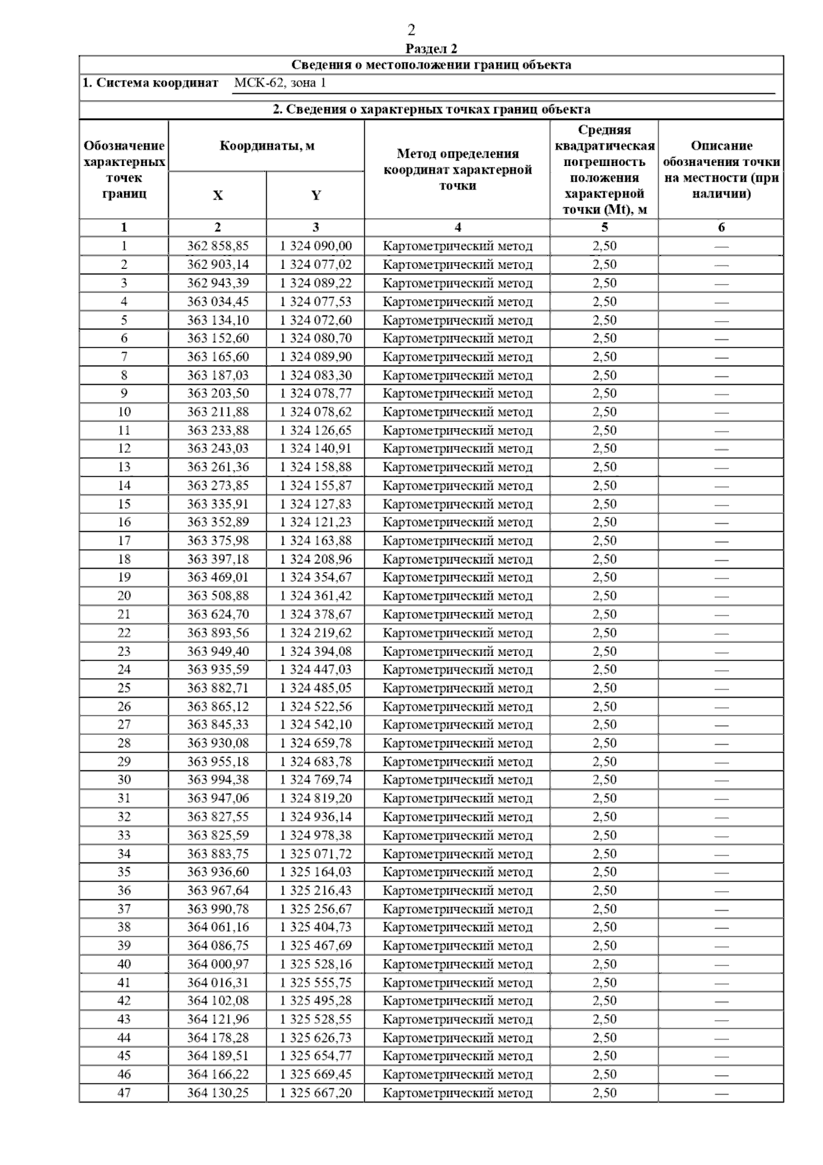
Постановление Главного управления архитектуры и градостроительства Рязанской области от 07.11.2025 № 971-п
"О внесении изменений в генеральный план муниципального образования – Успенское сельское поселение Скопинского муниципального района Рязанской области"
(Зарегистрирован 11.11.2025 № 1375)
Номер опубликования: 6201202511140005
Дата опубликования: 14.11.2025
Страница №8 из 10:
Увеличить