Официальное опубликование правовых актов
ОФИЦИАЛЬНОЕ ОПУБЛИКОВАНИЕ
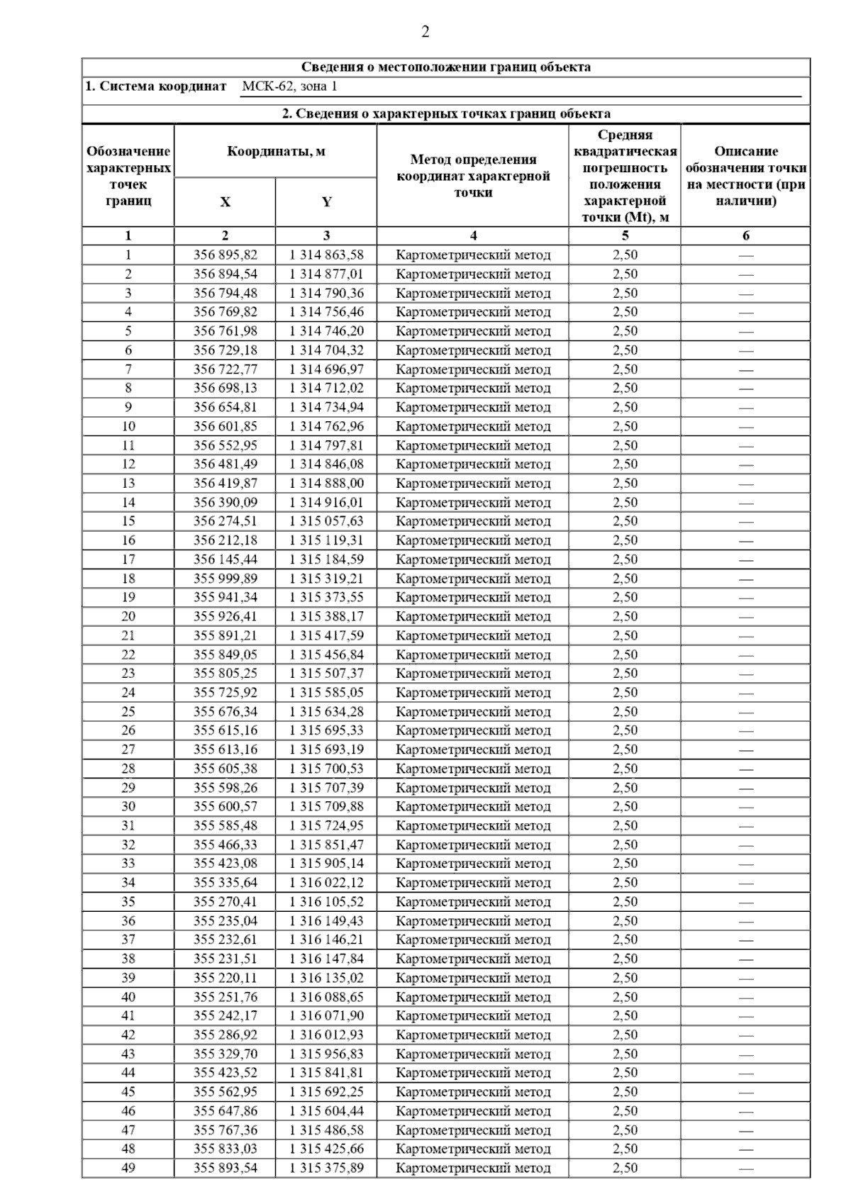
Постановление Главного управления архитектуры и градостроительства Рязанской области от 07.11.2025 № 972-п
"О внесении изменений в правила землепользования и застройки муниципального образования - Успенское сельское поселение Скопинского муниципального района Рязанской области"
(Зарегистрирован 11.11.2025 № 1376)
Номер опубликования: 6201202511140004
Дата опубликования: 14.11.2025
Страница №6 из 228:
Увеличить