Официальное опубликование правовых актов
ОФИЦИАЛЬНОЕ ОПУБЛИКОВАНИЕ
Постановление Главного управления архитектуры и градостроительства Рязанской области от 05.11.2025 № 964-п
"О внесении изменений в правила землепользования и застройки муниципального образования – Вышгородское сельское поселение Рязанского муниципального района Рязанской области"
(Зарегистрирован 07.11.2025 № 1364)
Номер опубликования: 6201202511120004
Дата опубликования: 12.11.2025
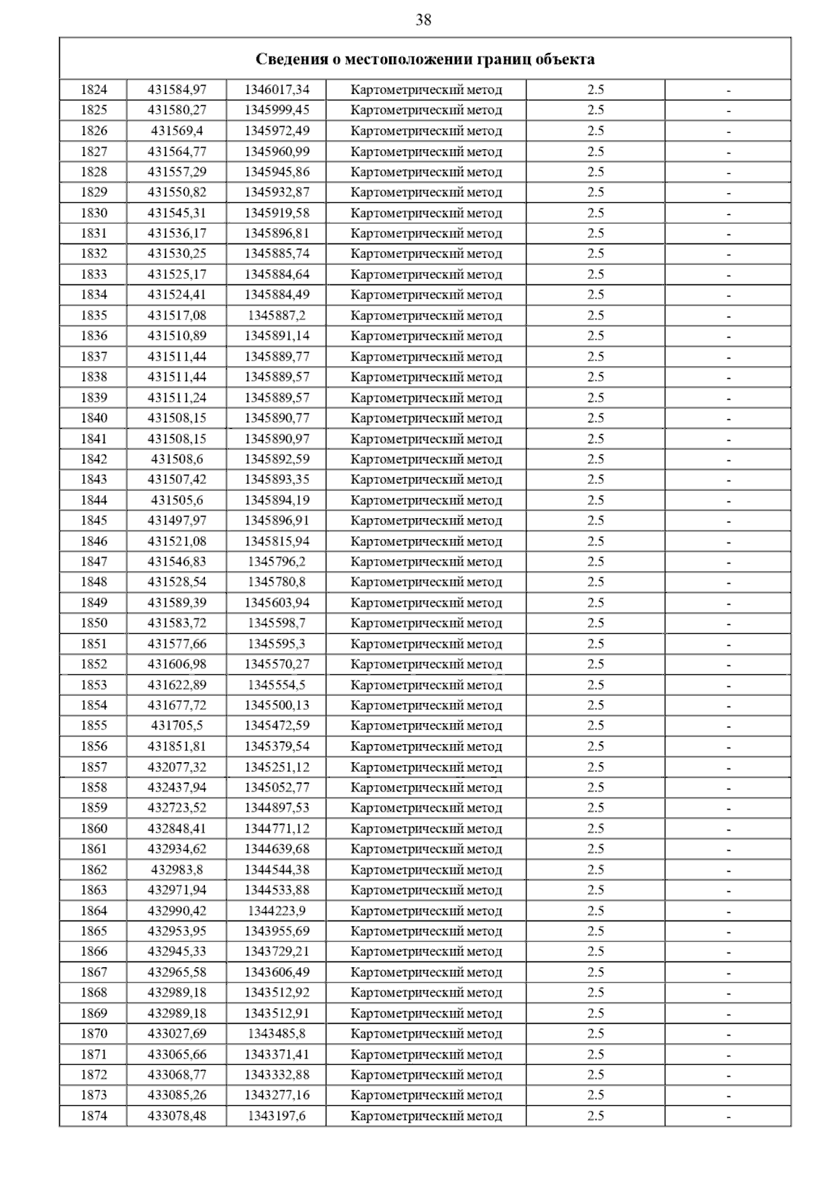
Страница №42 из 81:
Увеличить