Официальное опубликование правовых актов
ОФИЦИАЛЬНОЕ ОПУБЛИКОВАНИЕ
Постановление Главного управления архитектуры и градостроительства Рязанской области от 05.11.2025 № 965-п
"О внесении изменений в правила землепользования и застройки муниципального образования – Милославское городское поселение Милославского муниципального района Рязанской области"
(Зарегистрирован 07.11.2025 № 1365)
Номер опубликования: 6201202511120003
Дата опубликования: 12.11.2025
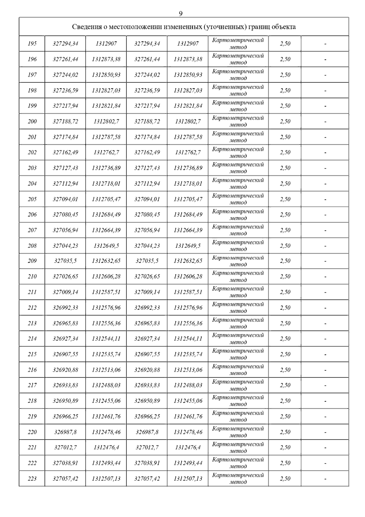
Страница №98 из 112:
Увеличить