Официальное опубликование правовых актов
ОФИЦИАЛЬНОЕ ОПУБЛИКОВАНИЕ
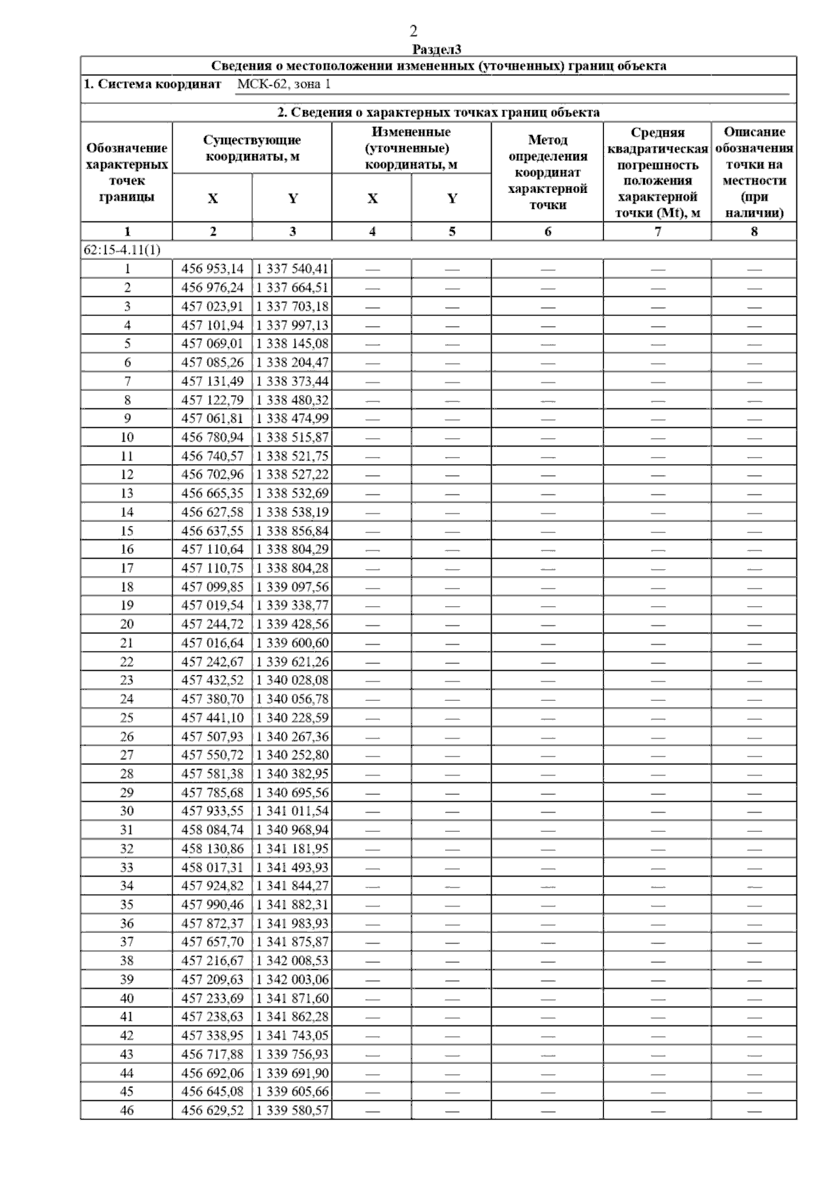
Постановление Главного управления архитектуры и градостроительства Рязанской области от 30.10.2025 № 947-п
"О внесении изменений в генеральный план муниципального образования – Варсковское сельское поселение Рязанского муниципального района Рязанской области"
(Зарегистрирован 31.10.2025 № 1344)
Номер опубликования: 6201202511050002
Дата опубликования: 05.11.2025
Страница №13 из 30:
Увеличить