Официальное опубликование правовых актов
ОФИЦИАЛЬНОЕ ОПУБЛИКОВАНИЕ
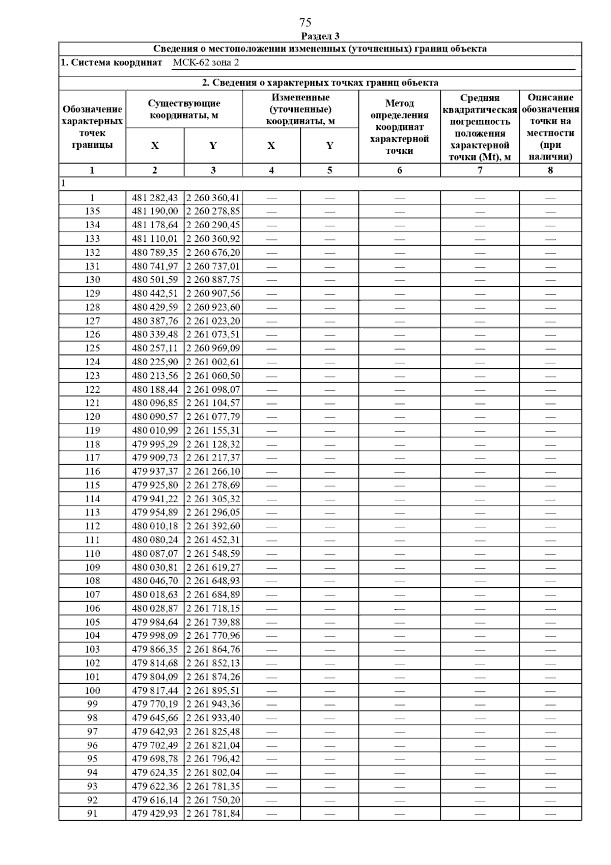
Постановление Главного управления архитектуры и градостроительства Рязанской области от 23.10.2025 № 924-п
"Об утверждении генерального плана муниципального образования – Касимовский муниципальный округ Рязанской области применительно к территориям Которовского и Новодеревенского сельских округов Касимовского района Рязанской области"
(Зарегистрирован 24.10.2025 № 1311)
Номер опубликования: 6201202510280006
Дата опубликования: 28.10.2025
Страница №86 из 110:
Увеличить