Официальное опубликование правовых актов
ОФИЦИАЛЬНОЕ ОПУБЛИКОВАНИЕ
Постановление Главного управления архитектуры и градостроительства Рязанской области от 23.10.2025 № 922-п
"Об утверждении генерального плана муниципального образования - Касимовский муниципальный округ Рязанской области применительно к территории Ермоловского сельского округа Касимовского района Рязанской области"
(Зарегистрирован 24.10.2025 № 1309)
Номер опубликования: 6201202510280003
Дата опубликования: 28.10.2025
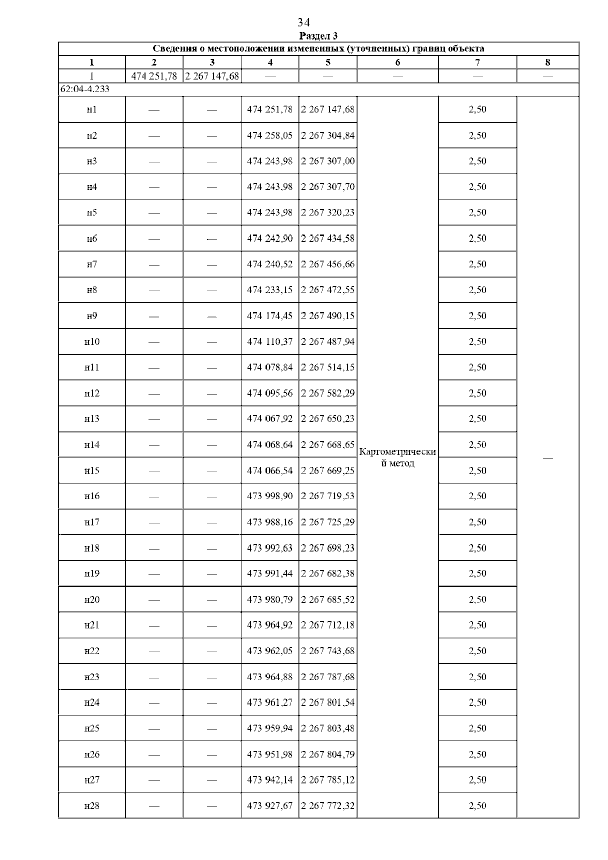
Страница №46 из 84:
Увеличить