Официальное опубликование правовых актов
ОФИЦИАЛЬНОЕ ОПУБЛИКОВАНИЕ
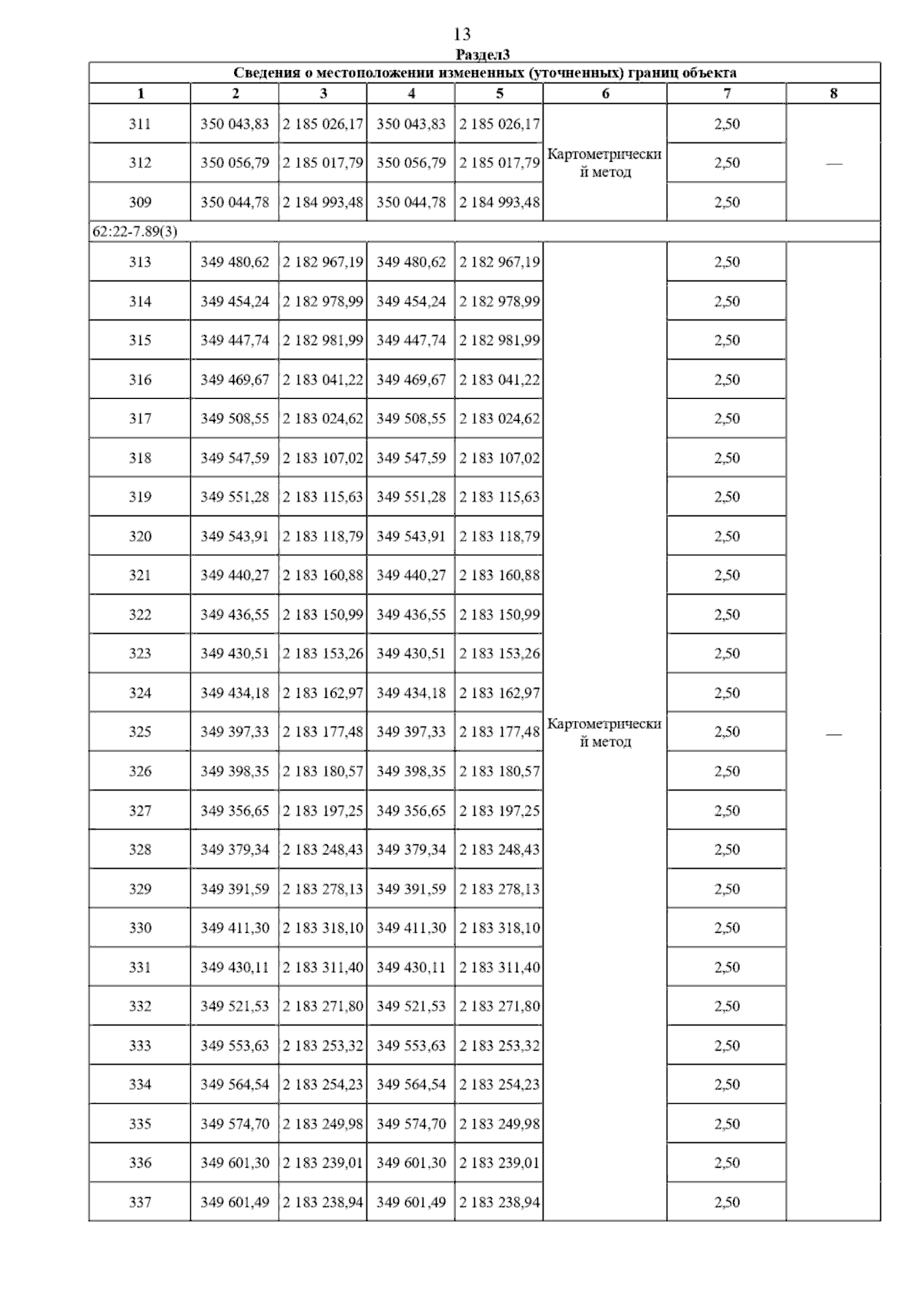
Постановление Главного управления архитектуры и градостроительства Рязанской области от 16.10.2025 № 912-п
"О внесении изменений в правила землепользования и застройки муниципального образования – Ухоловское городское поселение Ухоловского муниципального района Рязанской области"
(Зарегистрирован 17.10.2025 № 1293)
Номер опубликования: 6201202510220011
Дата опубликования: 22.10.2025
Страница №15 из 106:
Увеличить