Официальное опубликование правовых актов
ОФИЦИАЛЬНОЕ ОПУБЛИКОВАНИЕ
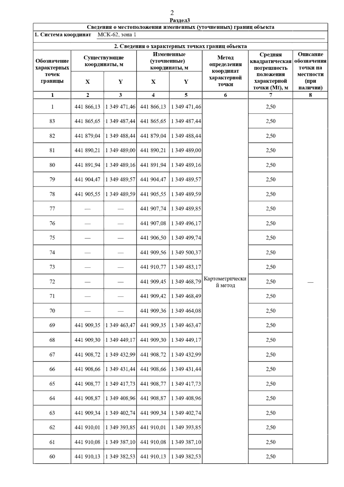
Постановление Главного управления архитектуры и градостроительства Рязанской области от 15.10.2025 № 899-п
"О внесении изменения в правила землепользования и застройки муниципального образования - Мурминское сельское поселение Рязанского муниципального района Рязанской области"
(Зарегистрирован 16.10.2025 № 1278)
Номер опубликования: 6201202510200003
Дата опубликования: 20.10.2025
Страница №4 из 7:
Увеличить