Официальное опубликование правовых актов
ОФИЦИАЛЬНОЕ ОПУБЛИКОВАНИЕ
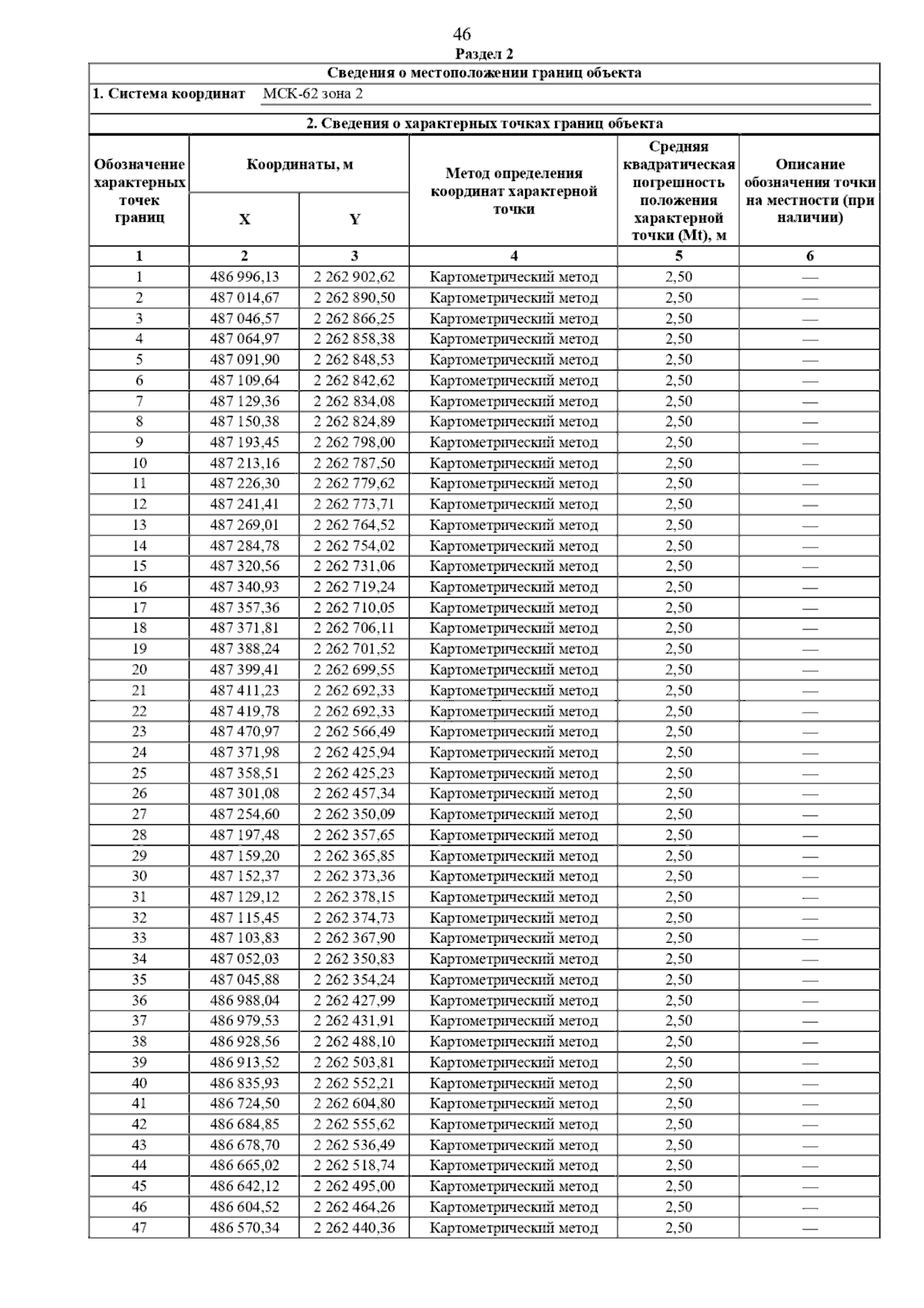
Постановление Главного управления архитектуры и градостроительства Рязанской области от 13.10.2025 № 885-п
"Об утверждении правил землепользования и застройки муниципального образования – Касимовский муниципальный округ Рязанской области применительно к территориям Ардабьевского и Савостьяновского сельских округов Касимовского района Рязанской области"
(Зарегистрирован 13.10.2025 № 1257)
Номер опубликования: 6201202510150001
Дата опубликования: 15.10.2025
Страница №88 из 139:
Увеличить