Официальное опубликование правовых актов
ОФИЦИАЛЬНОЕ ОПУБЛИКОВАНИЕ
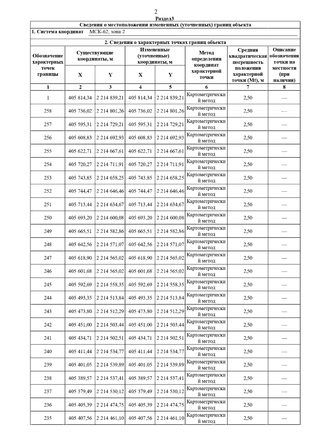
Постановление Главного управления архитектуры и градостроительства Рязанской области от 01.10.2025 № 862-п
"О внесении изменения в генеральный план муниципального образования – Тимошкинское сельское поселение Шиловского муниципального района Рязанской области"
(Зарегистрирован 02.10.2025 № 1229)
Номер опубликования: 6201202510070007
Дата опубликования: 07.10.2025
Страница №4 из 13:
Увеличить