Официальное опубликование правовых актов
ОФИЦИАЛЬНОЕ ОПУБЛИКОВАНИЕ
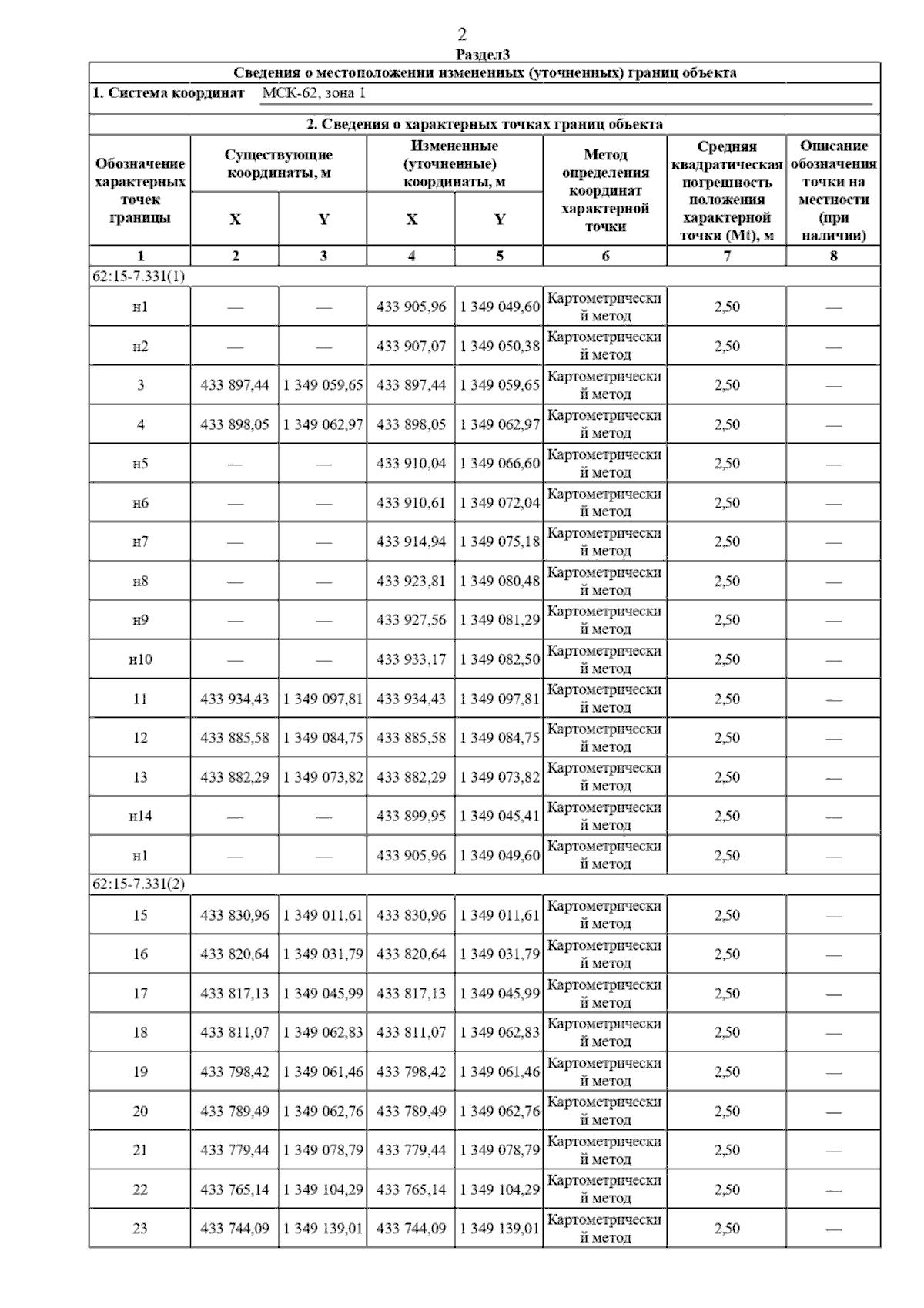
Постановление Главного управления архитектуры и градостроительства Рязанской области от 29.09.2025 № 836-п
"О внесении изменений в правила землепользования и застройки муниципального образования – Вышгородское сельское поселение Рязанского муниципального района Рязанской области"
(Зарегистрирован 29.09.2025 № 1198)
Номер опубликования: 6201202510030003
Дата опубликования: 03.10.2025
Страница №17 из 18:
Увеличить