Официальное опубликование правовых актов
ОФИЦИАЛЬНОЕ ОПУБЛИКОВАНИЕ
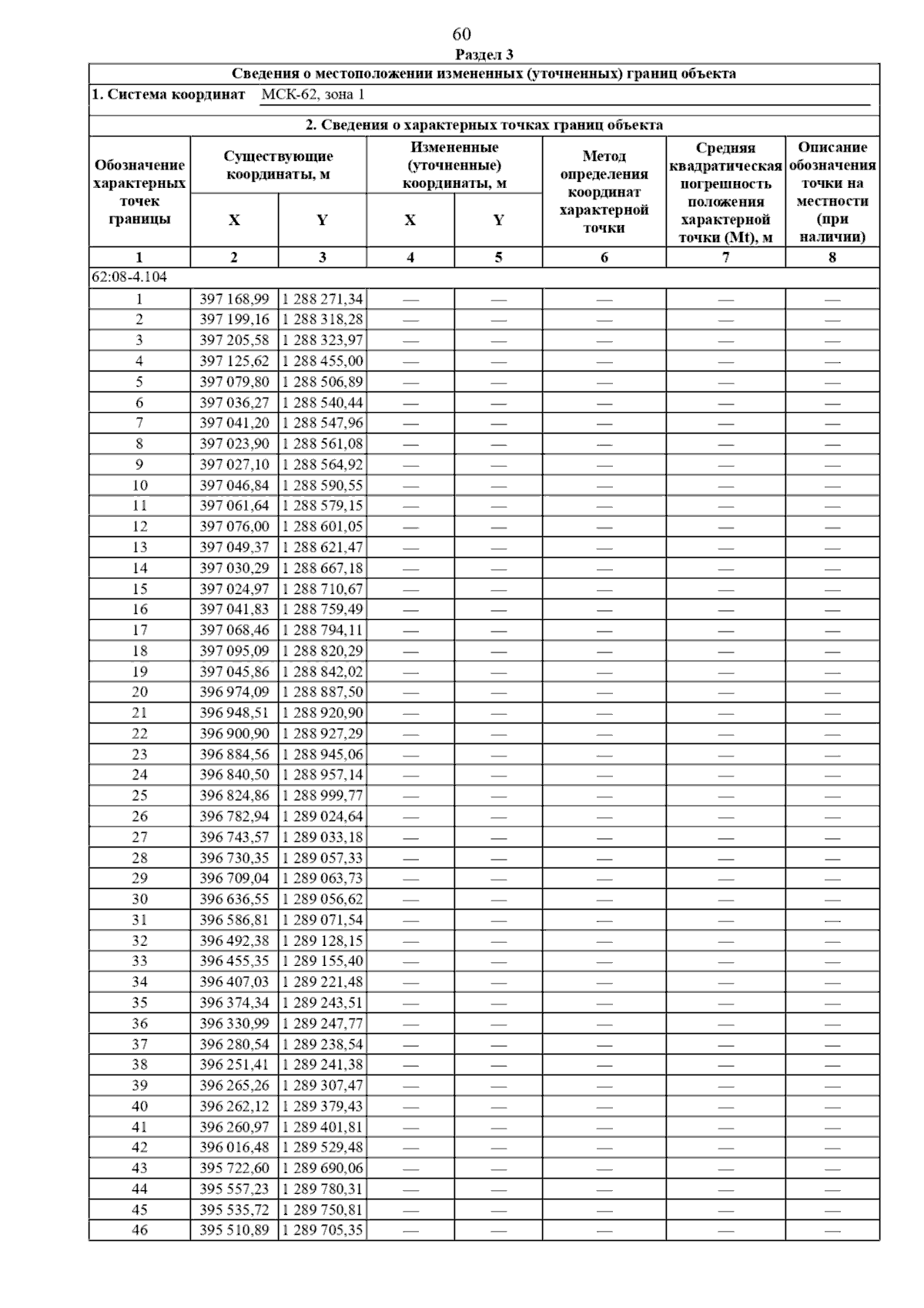
Постановление Главного управления архитектуры и градостроительства Рязанской области от 25.09.2025 № 826-п
"Об утверждении генерального плана муниципального образования – Михайловский муниципальный округ Рязанской области применительно к территориям Щетининского сельского округа, г. Михайлов, с. Зайчино, д. Зикеево, с. Козловка, д. Колчево, п. 10-й год Октября, с. Помозово с прилегающей территорией в кадастровых кварталах 62:08:0012306, 62:08:0023803, 62:08:0023807, 62:08:0045901, 62:08:0060309, 62:08:0045903, 62:08:0045905, 62:08:0045906 за исключением территории, расположенной в границах Трепольского, Виленского, Стрелецко-Высельского, Горностаевского и Голдинского сельских округов Михайловского района Рязанской области"
(Зарегистрирован 26.09.2025 № 1187)
Номер опубликования: 6201202510020001
Дата опубликования: 02.10.2025
Страница №76 из 95:
Увеличить