Официальное опубликование правовых актов
ОФИЦИАЛЬНОЕ ОПУБЛИКОВАНИЕ
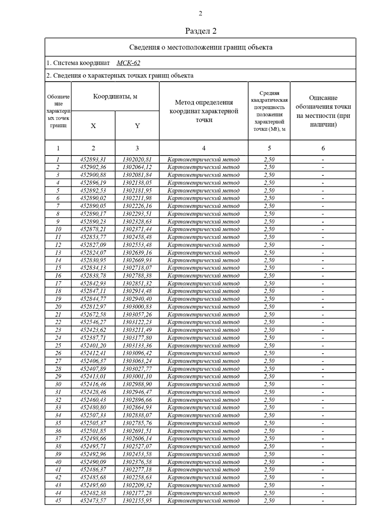
Постановление Главного управления архитектуры и градостроительства Рязанской области от 18.09.2025 № 809-п
"О внесении изменений в правила землепользования и застройки муниципального образования - Батуринское сельское поселение Рыбновского муниципального района Рязанской области"
(Зарегистрирован 19.09.2025 № 1163)
Номер опубликования: 6201202509240010
Дата опубликования: 24.09.2025
Страница №8 из 9:
Увеличить