Официальное опубликование правовых актов
ОФИЦИАЛЬНОЕ ОПУБЛИКОВАНИЕ
Постановление Главного управления архитектуры и градостроительства Рязанской области от 16.09.2025 № 795-п
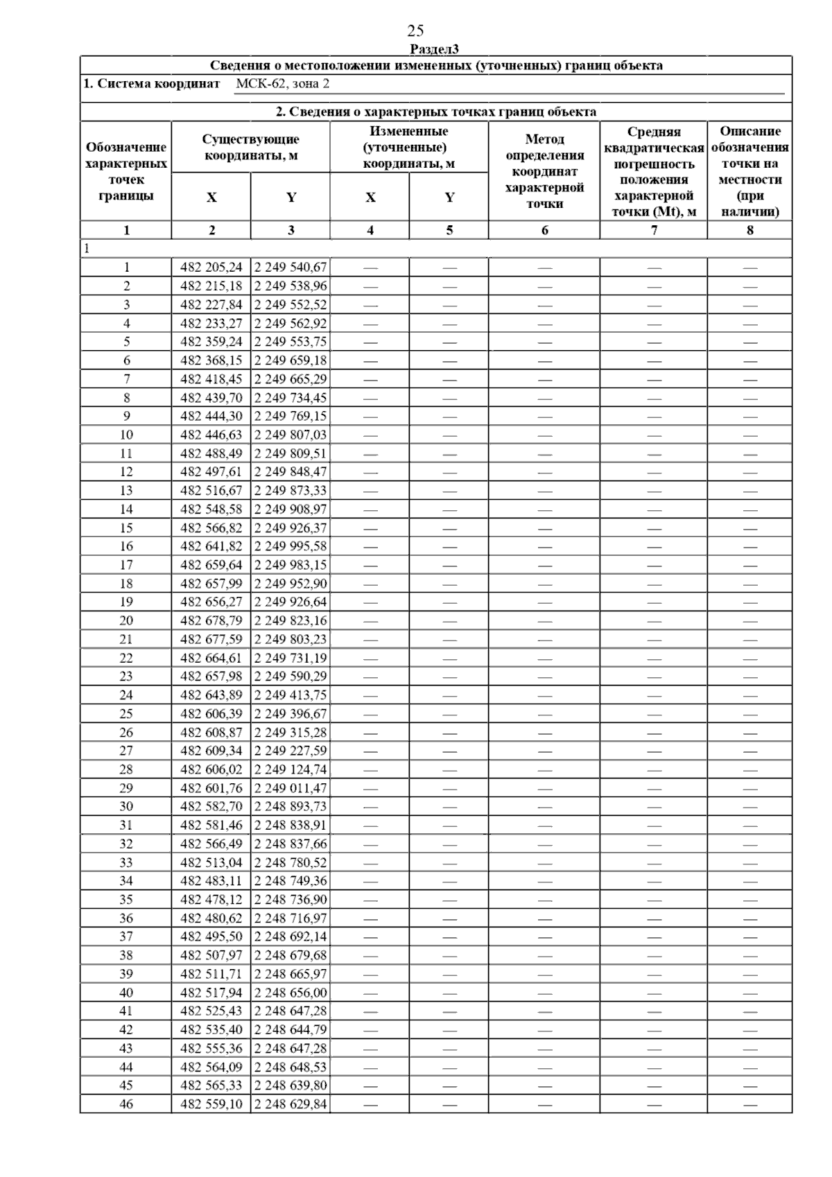
"Об утверждении генерального плана муниципального образования - Касимовский муниципальный округ Рязанской области применительно к территории Торбаевского сельского округа Касимовского района Рязанской области"
(Зарегистрирован 17.09.2025 № 1147)
Номер опубликования: 6201202509230005
Дата опубликования: 23.09.2025
Страница №35 из 88:
Увеличить