Официальное опубликование правовых актов
ОФИЦИАЛЬНОЕ ОПУБЛИКОВАНИЕ
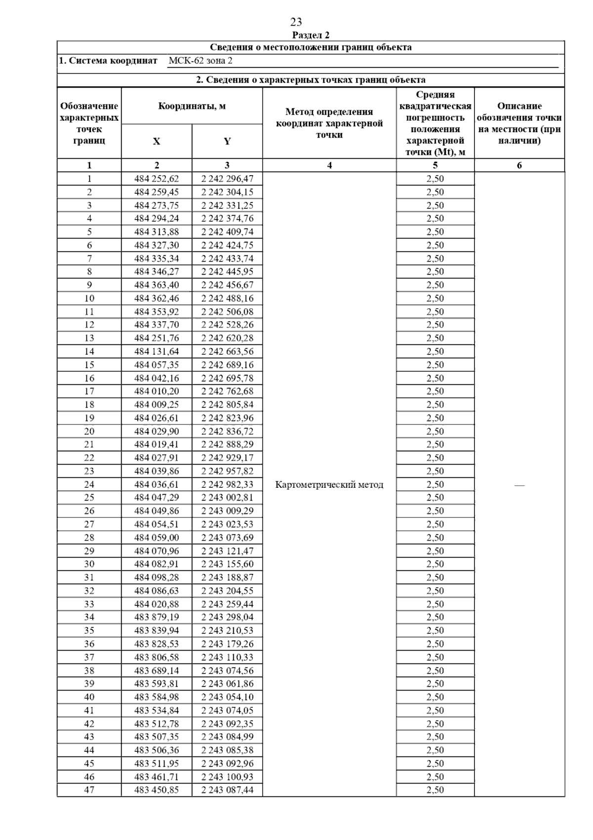
Постановление Главного управления архитектуры и градостроительства Рязанской области от 16.09.2025 № 794-п
"Об утверждении правил землепользования и застройки муниципального образования - Касимовский муниципальный округ Рязанской области применительно к территории Булгаковского сельского округа Касимовского района Рязанской области"
(Зарегистрирован 17.09.2025 № 1146)
Номер опубликования: 6201202509230003
Дата опубликования: 23.09.2025
Страница №64 из 135:
Увеличить