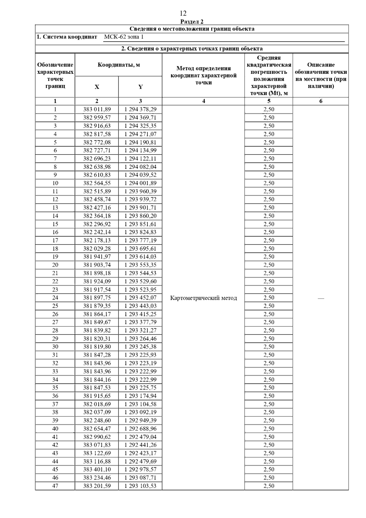
Постановление Главного управления архитектуры и градостроительства Рязанской области от 11.09.2025 № 776-п
"Об утверждении правил землепользования и застройки муниципального образования – Михайловский муниципальный округ Рязанской области применительно к территории Голдинского сельского округа Михайловского района Рязанской области"
(Зарегистрирован 12.09.2025 № 1123)
"Об утверждении правил землепользования и застройки муниципального образования – Михайловский муниципальный округ Рязанской области применительно к территории Голдинского сельского округа Михайловского района Рязанской области"
(Зарегистрирован 12.09.2025 № 1123)
Номер опубликования: 6201202509180008
Дата опубликования:
18.09.2025
