Официальное опубликование правовых актов
ОФИЦИАЛЬНОЕ ОПУБЛИКОВАНИЕ
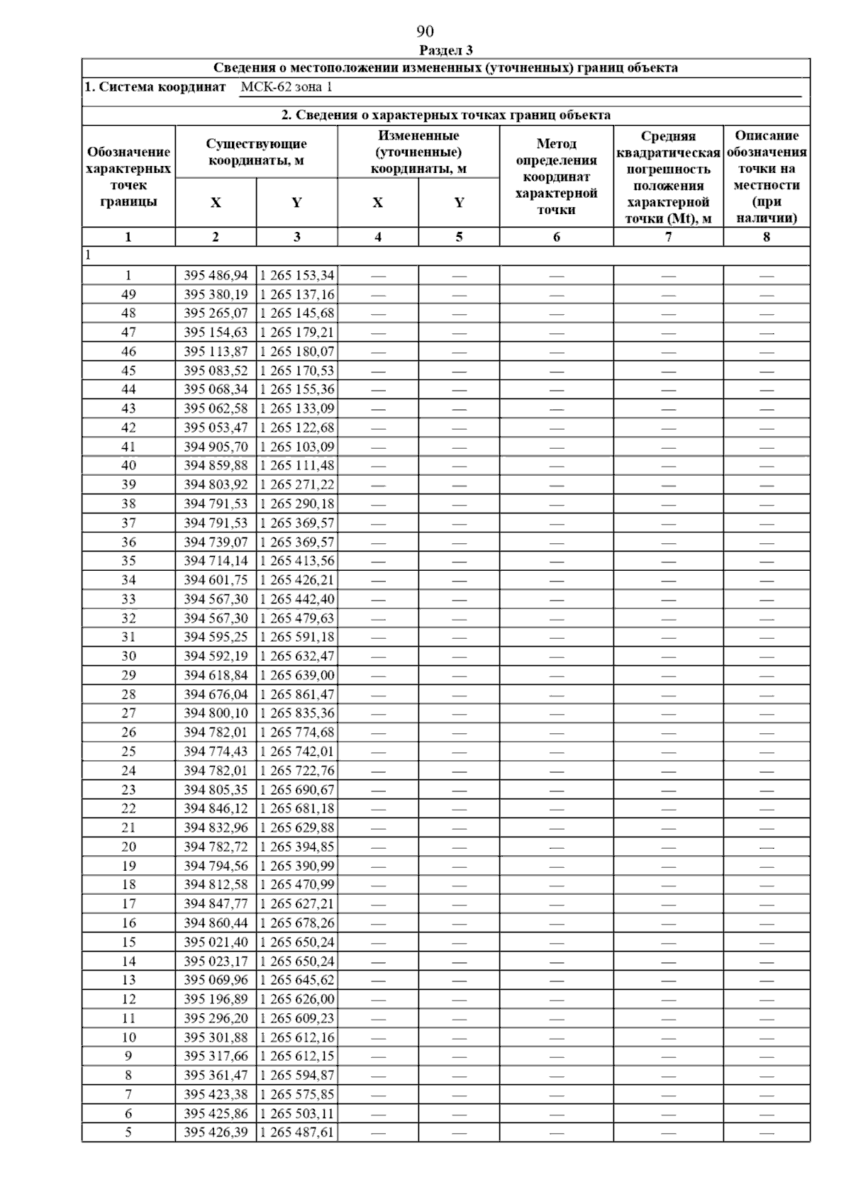
Постановление Главного управления архитектуры и градостроительства Рязанской области от 10.09.2025 № 774-п
"Об утверждении правил землепользования и застройки муниципального образования – Михайловский муниципальный округ Рязанской области применительно к территории Горностаевского сельского округа Михайловского района Рязанской области"
(Зарегистрирован 12.09.2025 № 1121)
Номер опубликования: 6201202509170001
Дата опубликования: 17.09.2025
Страница №128 из 203:
Увеличить