Официальное опубликование правовых актов
ОФИЦИАЛЬНОЕ ОПУБЛИКОВАНИЕ
Постановление Главного управления архитектуры и градостроительства Рязанской области от 09.09.2025 № 767-п
"Об утверждении генерального плана муниципального образования – Михайловский муниципальный округ Рязанской области применительно к территории Жмуровского сельского округа Михайловского района Рязанской области"
(Зарегистрирован 10.09.2025 № 1110)
Номер опубликования: 6201202509160010
Дата опубликования: 16.09.2025
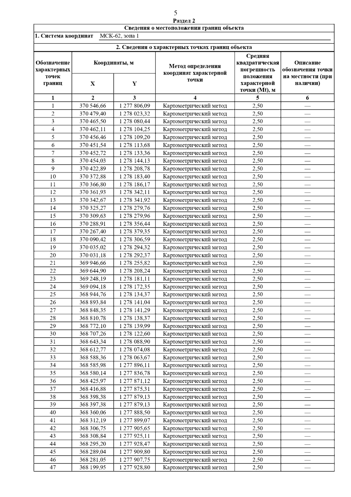
Страница №16 из 35:
Увеличить