Официальное опубликование правовых актов
ОФИЦИАЛЬНОЕ ОПУБЛИКОВАНИЕ
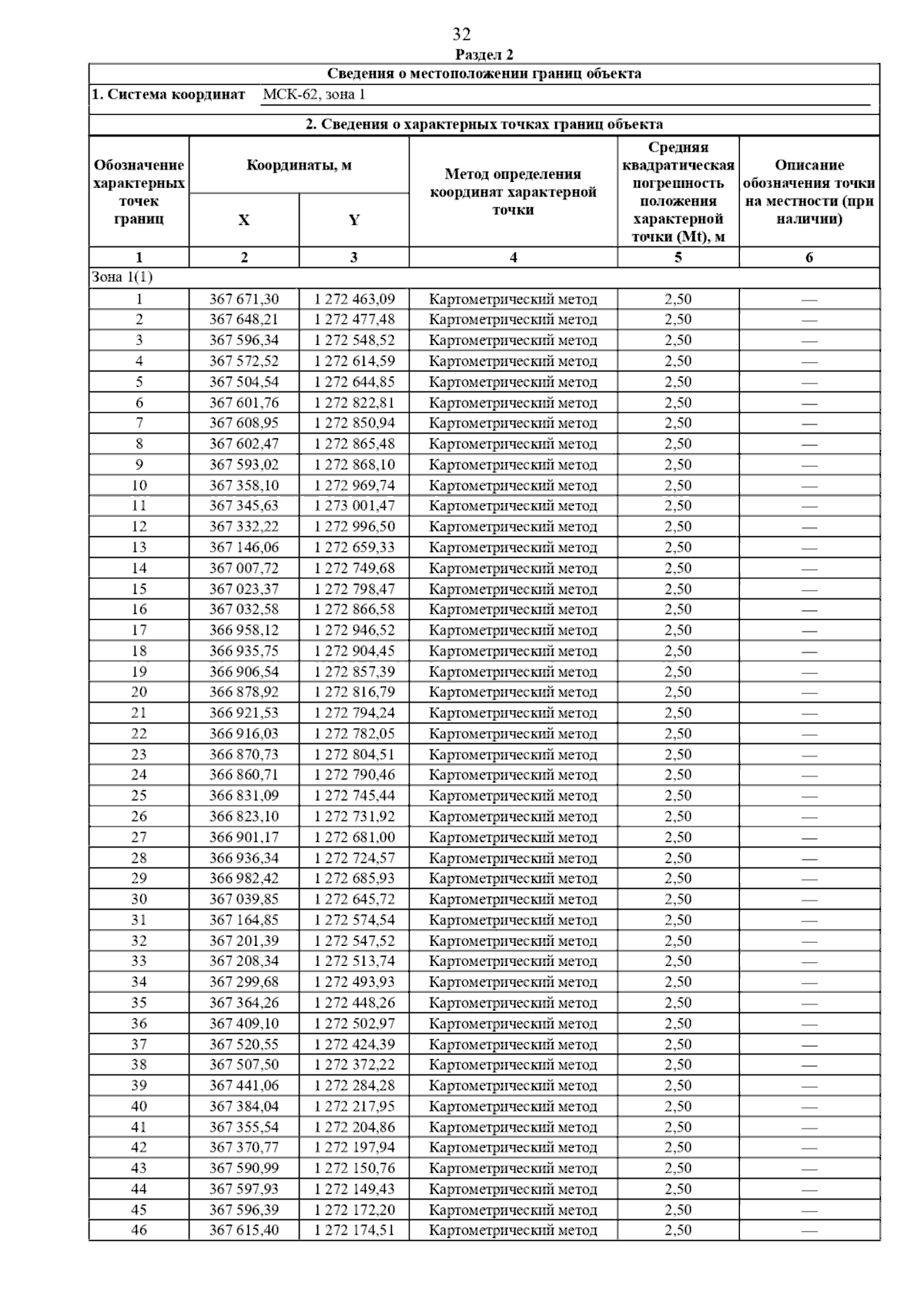
Постановление Главного управления архитектуры и градостроительства Рязанской области от 09.09.2025 № 768-п
"Об утверждении правил землепользования и застройки муниципального образования – Михайловский муниципальный округ Рязанской области применительно к территории Жмуровского сельского округа Михайловского района Рязанской области"
(Зарегистрирован 10.09.2025 № 1111)
Номер опубликования: 6201202509160009
Дата опубликования: 16.09.2025
Страница №69 из 78:
Увеличить