Официальное опубликование правовых актов
ОФИЦИАЛЬНОЕ ОПУБЛИКОВАНИЕ
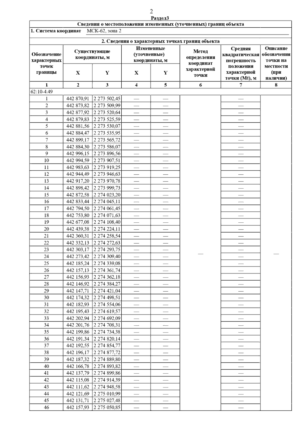
Постановление Главного управления архитектуры и градостроительства Рязанской области от 08.09.2025 № 762-п
"О внесении изменений в генеральный план муниципального образования – Пителинский муниципальный округ Рязанской области применительно к территориям рабочего поселка Пителино с прилегающей территорией, Пеньковского и Потапьевского сельских округов Пителинского района Рязанской области"
(Зарегистрирован 09.09.2025 № 1105)
Номер опубликования: 6201202509110010
Дата опубликования: 11.09.2025
Страница №4 из 14:
Увеличить