Официальное опубликование правовых актов
ОФИЦИАЛЬНОЕ ОПУБЛИКОВАНИЕ
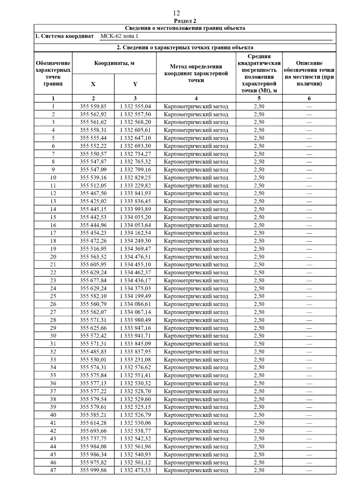
Постановление Главного управления архитектуры и градостроительства Рязанской области от 04.09.2025 № 752-п
"Об утверждении правил землепользования и застройки муниципального образования – Кораблинский муниципальный округ Рязанской области применительно к территории Яблоневского сельского округа Кораблинского района Рязанской области"
(Зарегистрирован 05.09.2025 № 1093)
Номер опубликования: 6201202509100005
Дата опубликования: 10.09.2025
Страница №53 из 107:
Увеличить