Официальное опубликование правовых актов
ОФИЦИАЛЬНОЕ ОПУБЛИКОВАНИЕ
Постановление Главного управления архитектуры и градостроительства Рязанской области от 04.09.2025 № 746-п
"О внесении изменений в правила землепользования и застройки муниципального образования - Варсковское сельское поселение Рязанского муниципального района Рязанской области"
(Зарегистрирован 05.09.2025 № 1087)
Номер опубликования: 6201202509100002
Дата опубликования: 10.09.2025
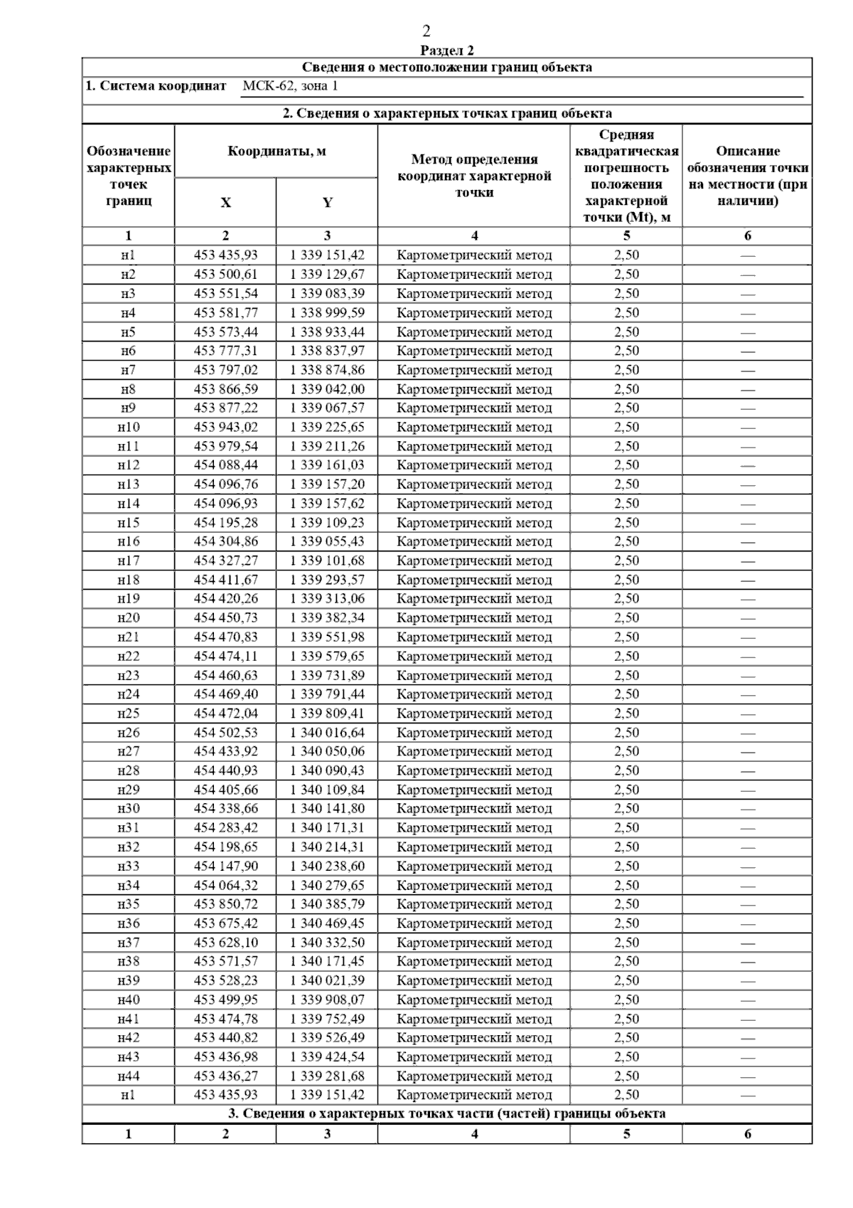
Страница №10 из 42:
Увеличить