Официальное опубликование правовых актов
ОФИЦИАЛЬНОЕ ОПУБЛИКОВАНИЕ
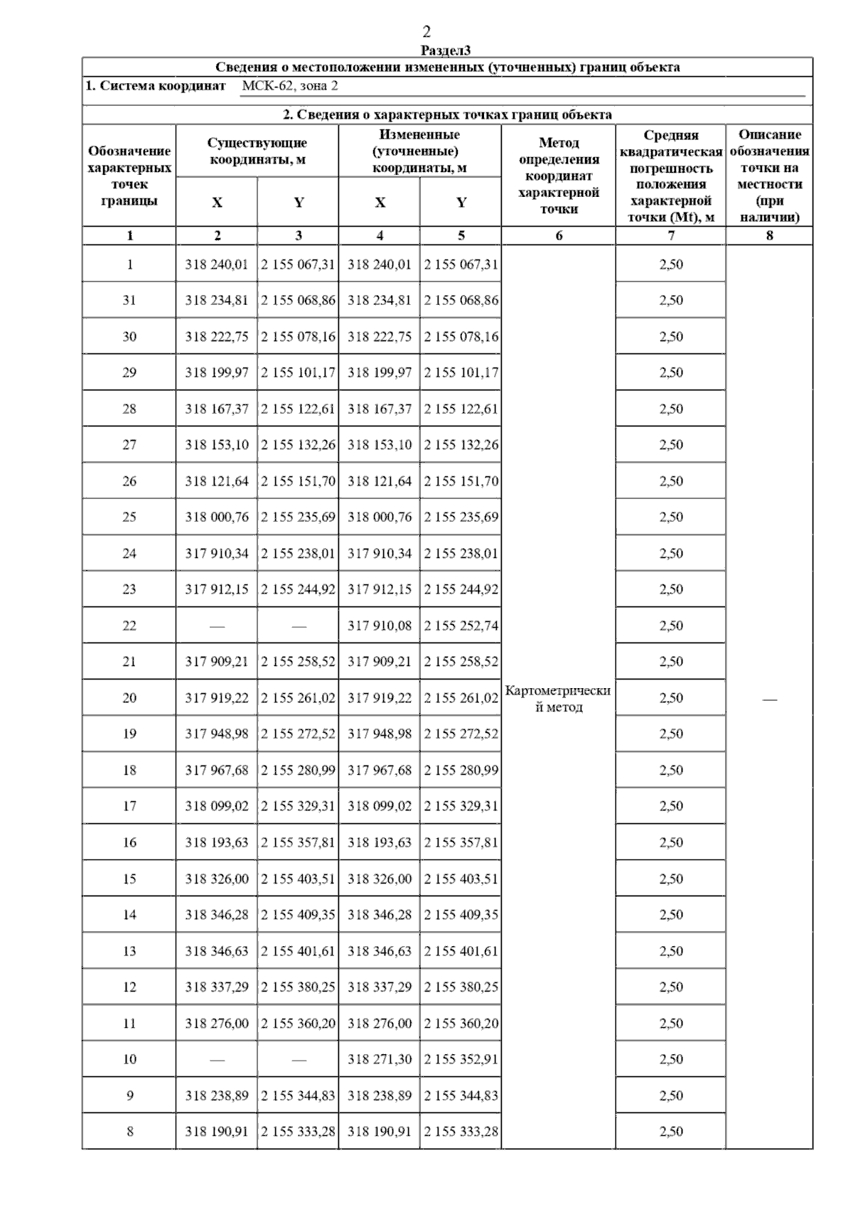
Постановление Главного управления архитектуры и градостроительства Рязанской области от 03.09.2025 № 744-п
"О внесении изменений в правила землепользования и застройки муниципального образования - Нижнеякимецкое сельское поселение Александро-Невского муниципального района Рязанской области"
(Зарегистрирован 04.09.2025 № 1085)
Номер опубликования: 6201202509090008
Дата опубликования: 09.09.2025
Страница №46 из 47:
Увеличить