Официальное опубликование правовых актов
ОФИЦИАЛЬНОЕ ОПУБЛИКОВАНИЕ
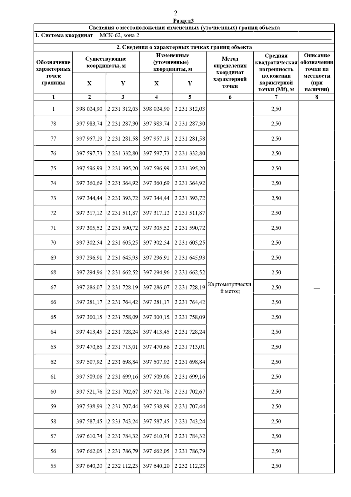
Постановление Главного управления архитектуры и градостроительства Рязанской области от 02.09.2025 № 733-п
"О внесении изменений в правила землепользования и застройки муниципального образования – Путятинский муниципальный округ Рязанской области применительно к территории Воршевского сельского округа Путятинского района Рязанской области"
(Зарегистрирован 03.09.2025 № 1072)
Номер опубликования: 6201202509050005
Дата опубликования: 05.09.2025
Страница №4 из 9:
Увеличить