Официальное опубликование правовых актов
ОФИЦИАЛЬНОЕ ОПУБЛИКОВАНИЕ
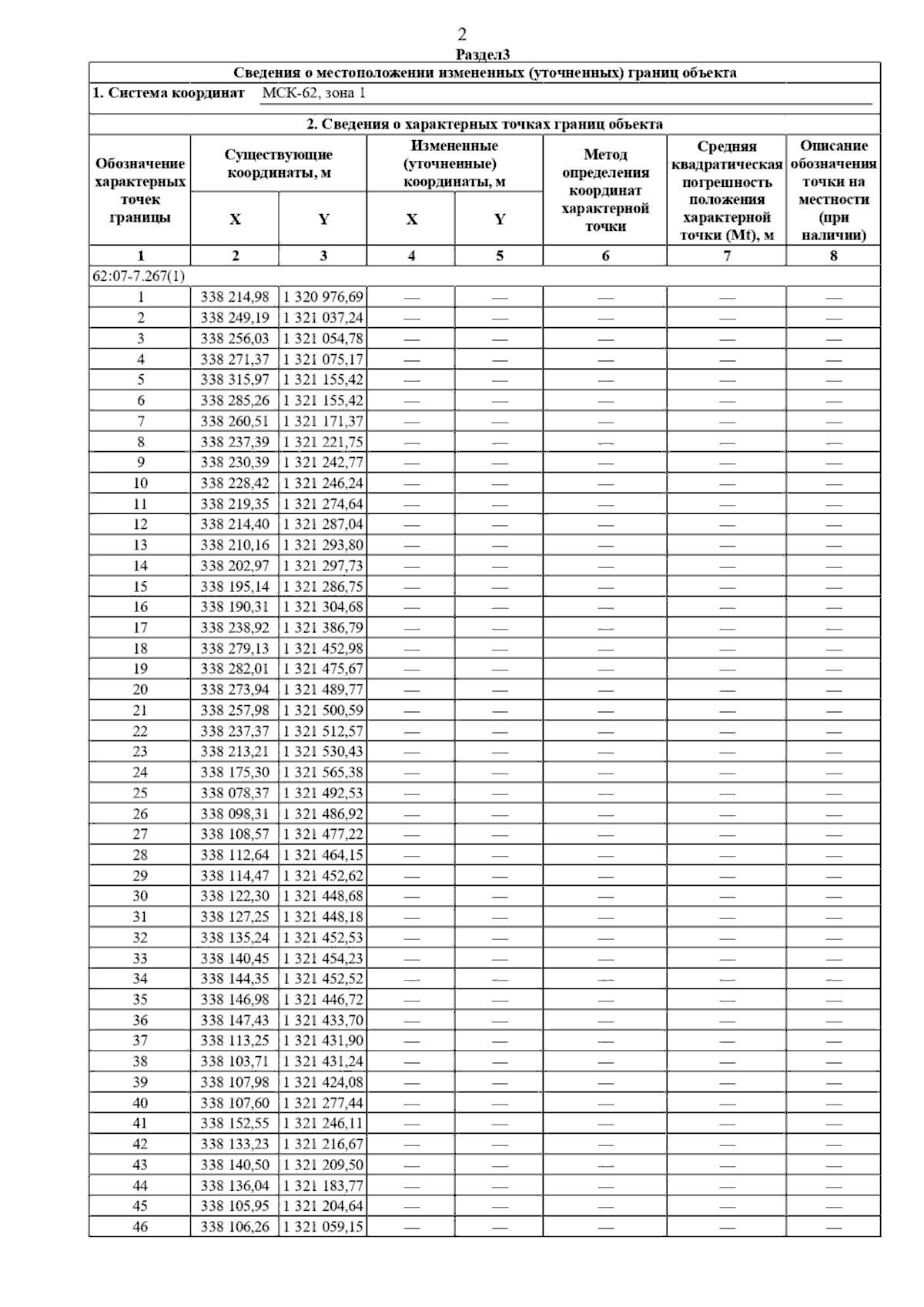
Постановление Главного управления архитектуры и градостроительства Рязанской области от 02.09.2025 № 734-п
"О внесении изменений в правила землепользования и застройки муниципального образования – Горняцкое сельское поселение Милославского муниципального района Рязанской области"
(Зарегистрирован 03.09.2025 № 1073)
Номер опубликования: 6201202509050004
Дата опубликования: 05.09.2025
Страница №14 из 17:
Увеличить