Официальное опубликование правовых актов
ОФИЦИАЛЬНОЕ ОПУБЛИКОВАНИЕ
Постановление Главного управления архитектуры и градостроительства Рязанской области от 02.09.2025 № 730-п
"О внесении изменений в правила землепользования и застройки муниципального образования – Ряжский муниципальный округ Рязанской области применительно к территориям города Ряжск с прилегающей территорией, Алешинского и Журавинского сельских округов Ряжского района Рязанской области"
(Зарегистрирован 03.09.2025 № 1069)
Номер опубликования: 6201202509050001
Дата опубликования: 05.09.2025
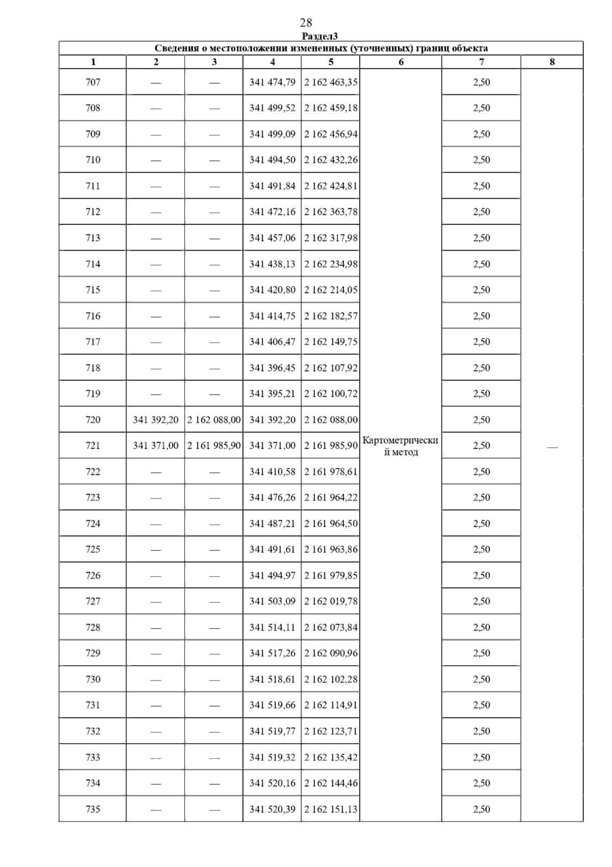
Страница №159 из 223:
Увеличить