Официальное опубликование правовых актов
ОФИЦИАЛЬНОЕ ОПУБЛИКОВАНИЕ
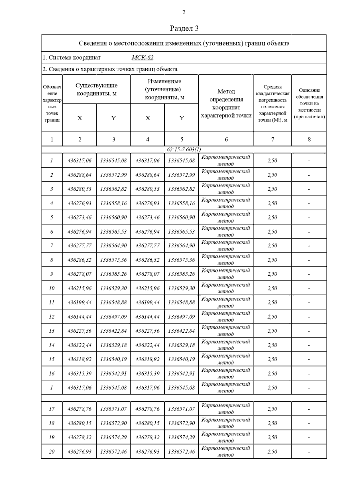
Постановление Главного управления архитектуры и градостроительства Рязанской области от 29.08.2025 № 727-п
"О внесении изменений в правила землепользования и застройки муниципального образования - Турлатовское сельское поселение Рязанского муниципального района Рязанской области"
(Зарегистрирован 01.09.2025 № 1060)
Номер опубликования: 6201202509030014
Дата опубликования: 03.09.2025
Страница №53 из 55:
Увеличить