Официальное опубликование правовых актов
ОФИЦИАЛЬНОЕ ОПУБЛИКОВАНИЕ
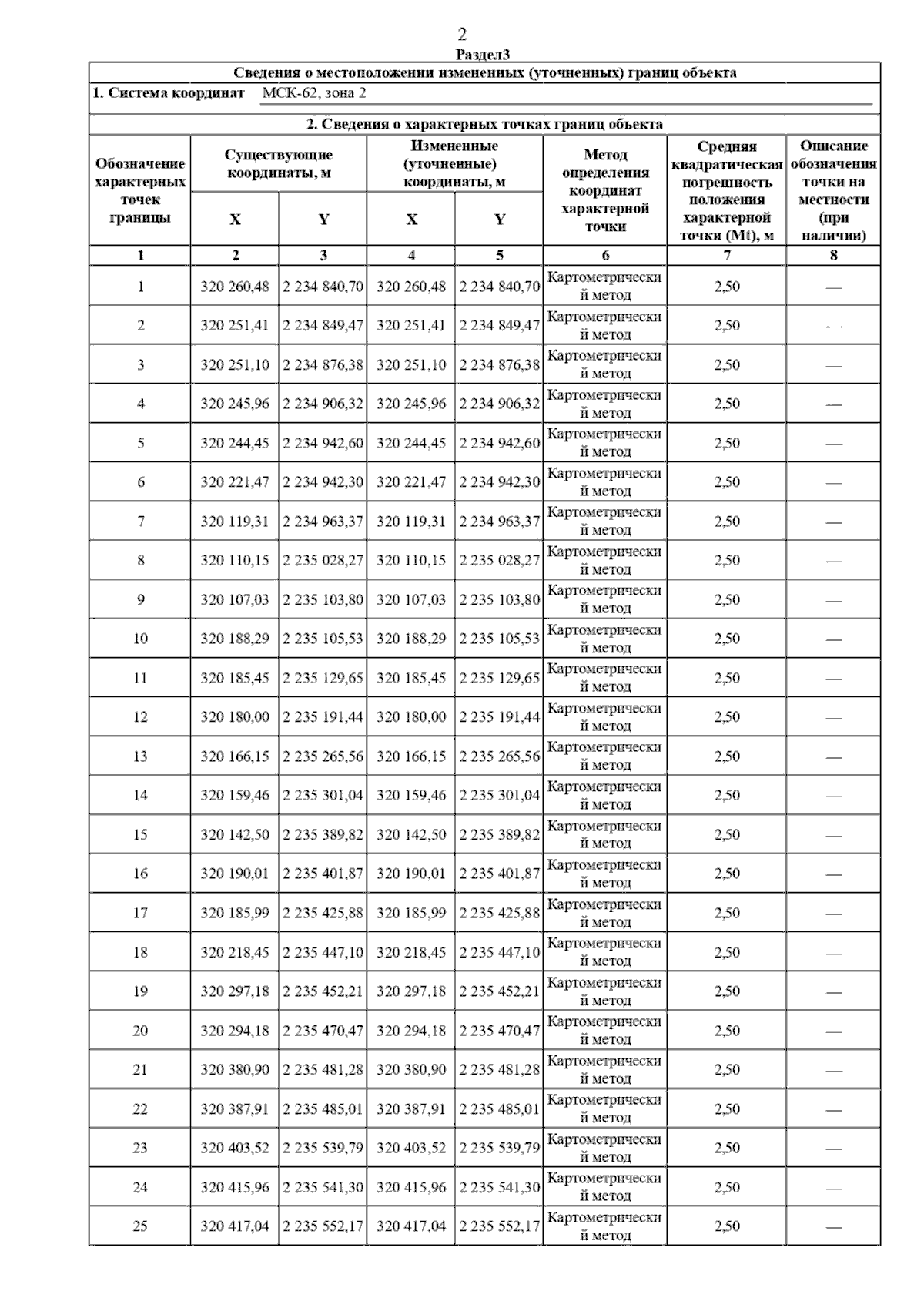
Постановление Главного управления архитектуры и градостроительства Рязанской области от 26.08.2025 № 718-п
"О внесении изменений в генеральный план муниципального образования – Алексеевское сельское поселение Сараевского муниципального района Рязанской области"
(Зарегистрирован 28.08.2025 № 1048)
Номер опубликования: 6201202509030008
Дата опубликования: 03.09.2025
Страница №4 из 7:
Увеличить