Официальное опубликование правовых актов
ОФИЦИАЛЬНОЕ ОПУБЛИКОВАНИЕ
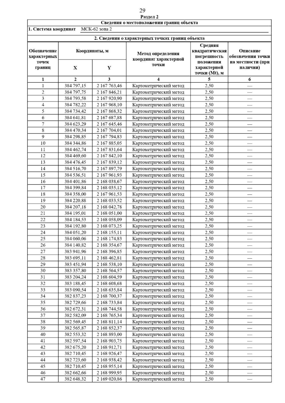
Постановление Главного управления архитектуры и градостроительства Рязанской области от 26.08.2025 № 712-п
"Об утверждении генерального плана муниципального образования - Кораблинский муниципальный округ Рязанской области применительно к территории Пустотинского сельского округа Кораблинского района Рязанской области"
(Зарегистрирован 28.08.2025 № 1042)
Номер опубликования: 6201202509030005
Дата опубликования: 03.09.2025
Страница №40 из 100:
Увеличить