Официальное опубликование правовых актов
ОФИЦИАЛЬНОЕ ОПУБЛИКОВАНИЕ
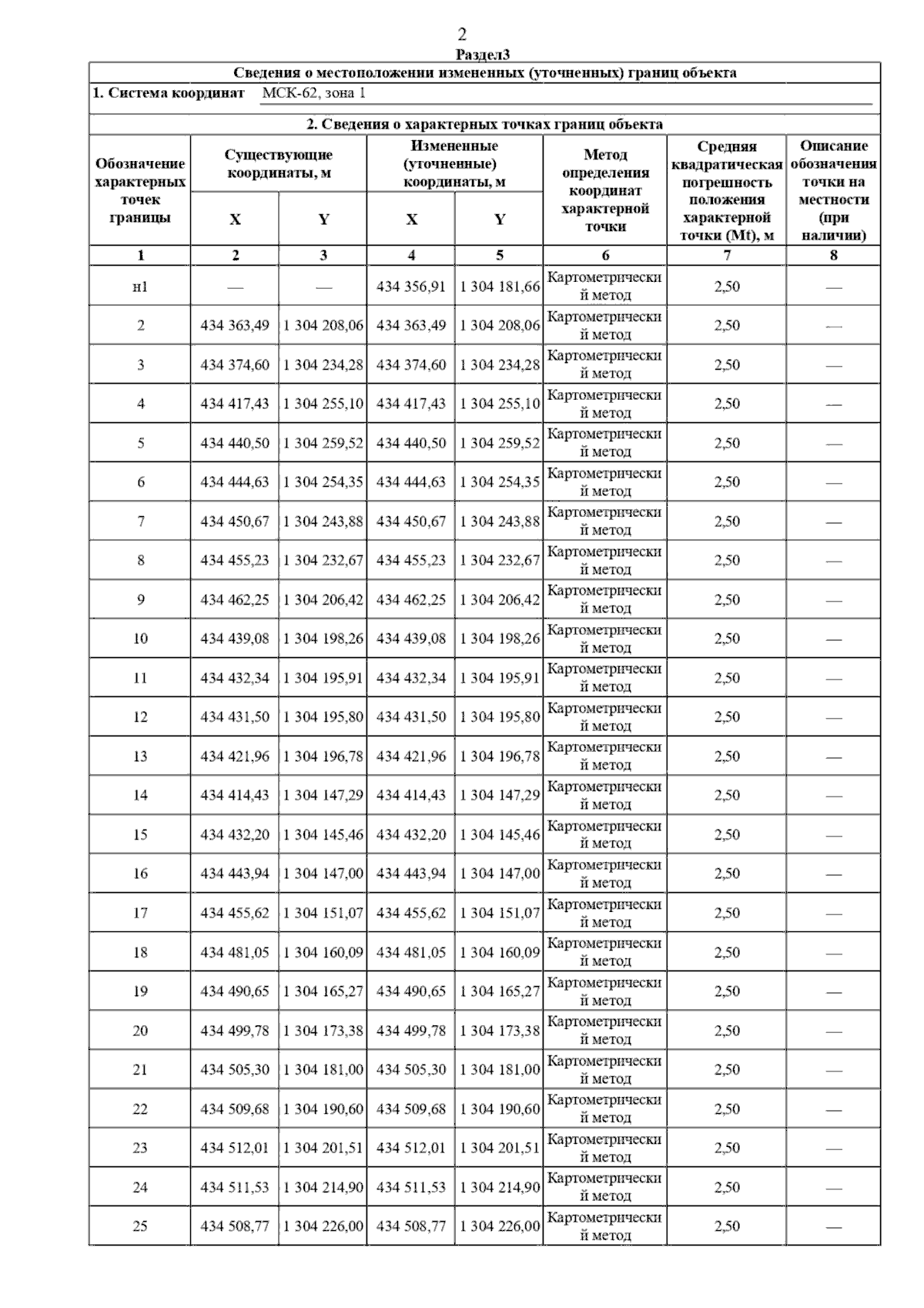
Постановление Главного управления архитектуры и градостроительства Рязанской области от 26.08.2025 № 705-п
"О внесении изменений в правила землепользования и застройки муниципального образования – Плахинское сельское поселение Захаровского муниципального района Рязанской области"
(Зарегистрирован 27.08.2025 № 1036)
Номер опубликования: 6201202508290004
Дата опубликования: 29.08.2025
Страница №14 из 16:
Увеличить