Официальное опубликование правовых актов
ОФИЦИАЛЬНОЕ ОПУБЛИКОВАНИЕ
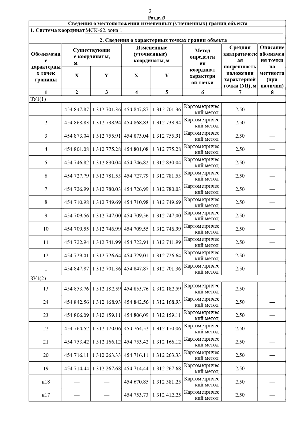
Постановление Главного управления архитектуры и градостроительства Рязанской области от 25.08.2025 № 699-п
"О внесении изменений в правила землепользования и застройки муниципального образования - Баграмовское сельское поселение Рыбновского муниципального района Рязанской области"
(Зарегистрирован 26.08.2025 № 1029)
Номер опубликования: 6201202508280004
Дата опубликования: 28.08.2025
Страница №53 из 54:
Увеличить