Официальное опубликование правовых актов
ОФИЦИАЛЬНОЕ ОПУБЛИКОВАНИЕ
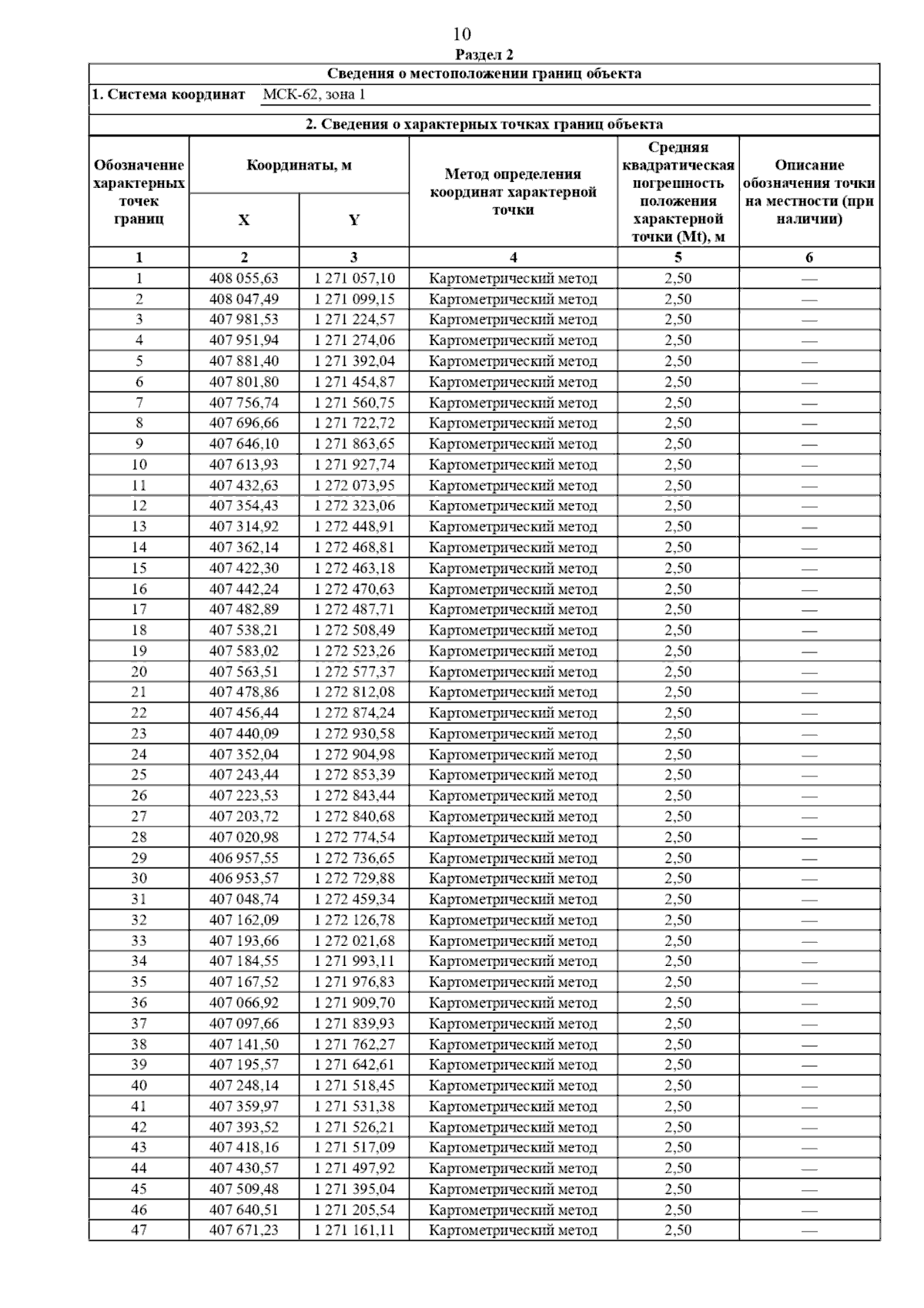
Постановление Главного управления архитектуры и градостроительства Рязанской области от 21.08.2025 № 696-п
"Об утверждении генерального плана муниципального образования – Михайловский муниципальный округ Рязанской области применительно к территории Трепольского сельского округа Михайловского района Рязанской области"
(Зарегистрирован 22.08.2025 № 1025)
Номер опубликования: 6201202508260001
Дата опубликования: 26.08.2025
Страница №21 из 69:
Увеличить