Официальное опубликование правовых актов
ОФИЦИАЛЬНОЕ ОПУБЛИКОВАНИЕ
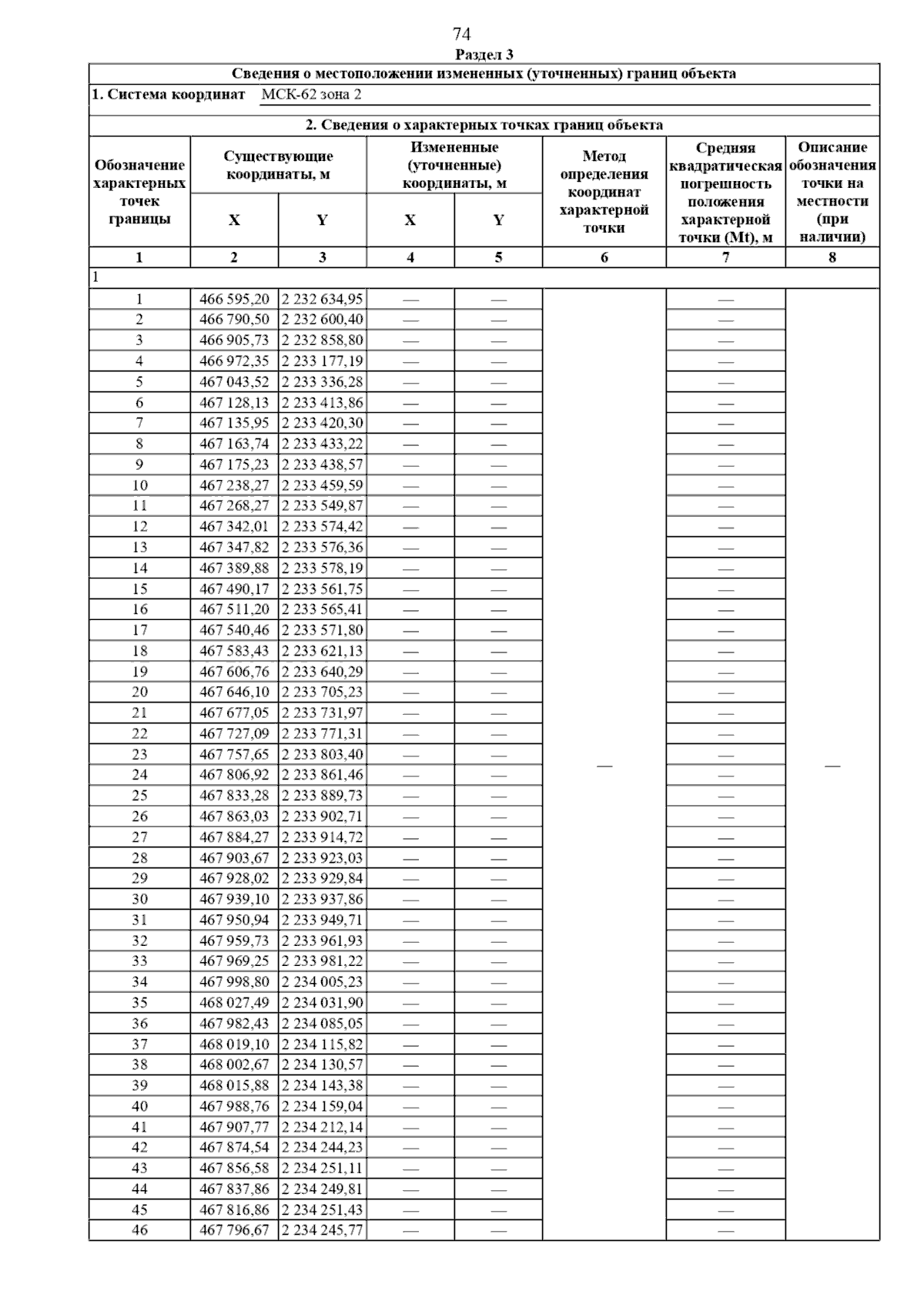
Постановление Главного управления архитектуры и градостроительства Рязанской области от 19.08.2025 № 690-п
"Об утверждении правил землепользования и застройки муниципального образования – Касимовский муниципальный округ Рязанской области применительно к территориям Токаревского и Шостьинского сельских округов Касимовского района Рязанской области"
(Зарегистрирован 20.08.2025 № 1014)
Номер опубликования: 6201202508220014
Дата опубликования: 22.08.2025
Страница №116 из 234:
Увеличить